Open Access

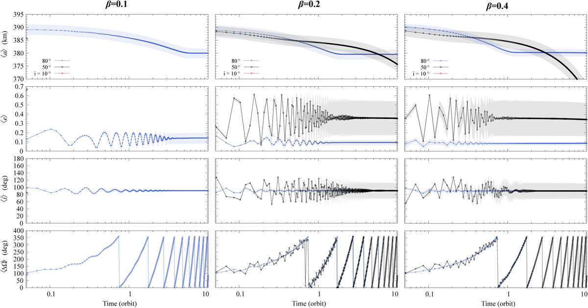
Fig. 7

image

Download original image

Same as Fig. 5 but for β > 10 βcrit. The i ≥ 50° models represent stable ring configurations. The effect of planetary shadow has been considered in all models presented here.

Current usage metrics show cumulative count of Article Views (full-text article views including HTML views, PDF and ePub downloads, according to the available data) and Abstracts Views on Vision4Press platform.

Data correspond to usage on the plateform after 2015. The current usage metrics is available 48-96 hours after online publication and is updated daily on week days.

Initial download of the metrics may take a while.