Open Access

This article has an erratum: [https://doi.org/10.1051/0004-6361/202659687e]


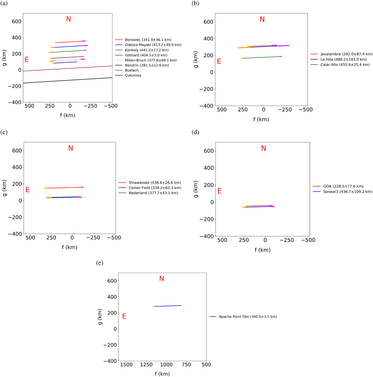
Fig. B.5

image

Download original image

Chords of the stellar occultations projected on the sky plane. The ingress uncertainties are shown in pink, and the egress uncertainties are in orange. In the legend, the chord length values in kilometers appear alongside the uncertainty error. The ephemeris source used for these plots was JPL#18.

Current usage metrics show cumulative count of Article Views (full-text article views including HTML views, PDF and ePub downloads, according to the available data) and Abstracts Views on Vision4Press platform.

Data correspond to usage on the plateform after 2015. The current usage metrics is available 48-96 hours after online publication and is updated daily on week days.

Initial download of the metrics may take a while.