Open Access

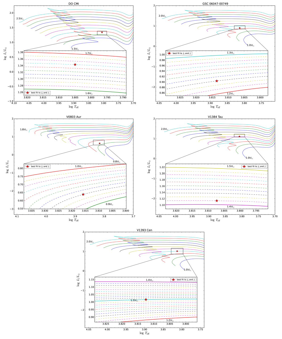
Fig. C.1.

image

Download original image

Hertzsprung-Russell diagram with all the evolutionary tracks and the best-fit seismic models of the five HADS. The coloured solid evolutionary tracks show the stages from the zero-age main sequence (ZAMS) to the post-main sequence (post-MS) evolutionary phase, with initial masses covering 1 M. The regions surrounded by the black rectangular boxes are zoomed-in views of the best-fit seismic models, represented by red stars. The coloured dashed lines indicate evolutionary tracks with initial mass steps of 0.01 M.

Current usage metrics show cumulative count of Article Views (full-text article views including HTML views, PDF and ePub downloads, according to the available data) and Abstracts Views on Vision4Press platform.

Data correspond to usage on the plateform after 2015. The current usage metrics is available 48-96 hours after online publication and is updated daily on week days.

Initial download of the metrics may take a while.