Open Access

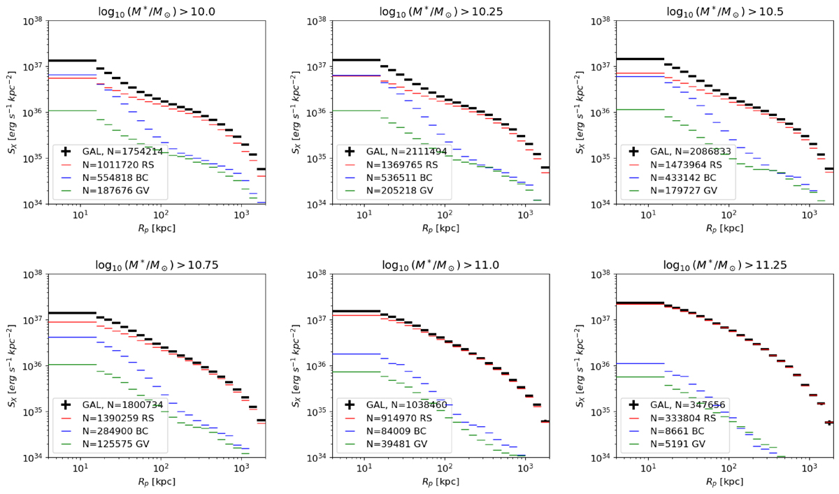
Fig. 15.

image

Download original image

Stacked surface brightness profiles as a function of radius (proper kpc). The total emission (black lines, identical to that reported in colors in Fig. 5) is decomposed into the fractional contribution of the blue cloud (BC, blue), green valley (GV, green), and red sequence (RS, red) galaxies. The classification into these categories is detailed in Appendix D. This decomposition carries information about quenched fraction as a function host halo center and halo mass. It may constrain future models of the galaxy-gas-AGN-halo connection as a function of specific star formation rate and in dense environment (e.g., Nishizawa et al. 2018; Aung et al. 2023; Shreeram et al. 2025).

Current usage metrics show cumulative count of Article Views (full-text article views including HTML views, PDF and ePub downloads, according to the available data) and Abstracts Views on Vision4Press platform.

Data correspond to usage on the plateform after 2015. The current usage metrics is available 48-96 hours after online publication and is updated daily on week days.

Initial download of the metrics may take a while.