Open Access

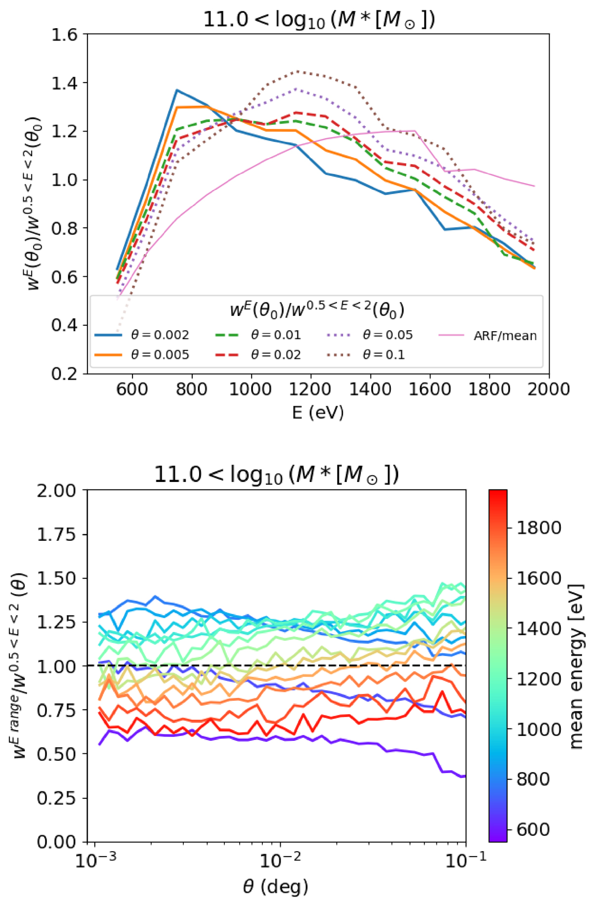
Fig. 16.

image

Download original image

Illustration of the energy dependence of the galaxy-X-ray cross-correlation with the galaxy sample selected with stellar mass larger than 1011M (see best-fit model of the broad band cross-correlation in Fig. 8 bottom right panel). Top: Ratio of the cross-correlations at a fixed set of separations (meaning different sources of emission) as a function of energy. We find that the spectral shape obtained depends on the separation. At small angular separations of 0.002 and 0.005 degree, 30–75 kpc, (blue and orange solid lines), where the point source emission dominates, the ratio to the broad band increases between 600 and 800 eV and decreases thereafter. At large separations (0.05 and 0.1 degree, 700–1400 kpc), where emission coming from satellite and the two-halo dominate (hot gas for large halos), the ratio increases until 1200 eV and decreases thereafter. At intermediate separation (0.01 and 0.02 degree, 150–300 kpc) where the emission comes from half half from the CGM and the satellites, the evolution with energy is in-between the two. Leveraging the energy dependence is key in future models to further ascertain the physical origin of the emitting components. Bottom: Same ratio between the cross-correlations in different energy bins as a function of angular separation.

Current usage metrics show cumulative count of Article Views (full-text article views including HTML views, PDF and ePub downloads, according to the available data) and Abstracts Views on Vision4Press platform.

Data correspond to usage on the plateform after 2015. The current usage metrics is available 48-96 hours after online publication and is updated daily on week days.

Initial download of the metrics may take a while.