Open Access

Fig. 2

image

Download original image

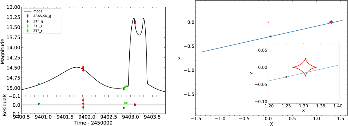
Photometric data and fitted light curve of the anomaly part of the event AT2021uey (left panel) and the plot of the source trajectory in the lens frame (right panel). Only ASAS-SN and ZTF succeeded in detecting the anomaly.

Current usage metrics show cumulative count of Article Views (full-text article views including HTML views, PDF and ePub downloads, according to the available data) and Abstracts Views on Vision4Press platform.

Data correspond to usage on the plateform after 2015. The current usage metrics is available 48-96 hours after online publication and is updated daily on week days.

Initial download of the metrics may take a while.