Open Access

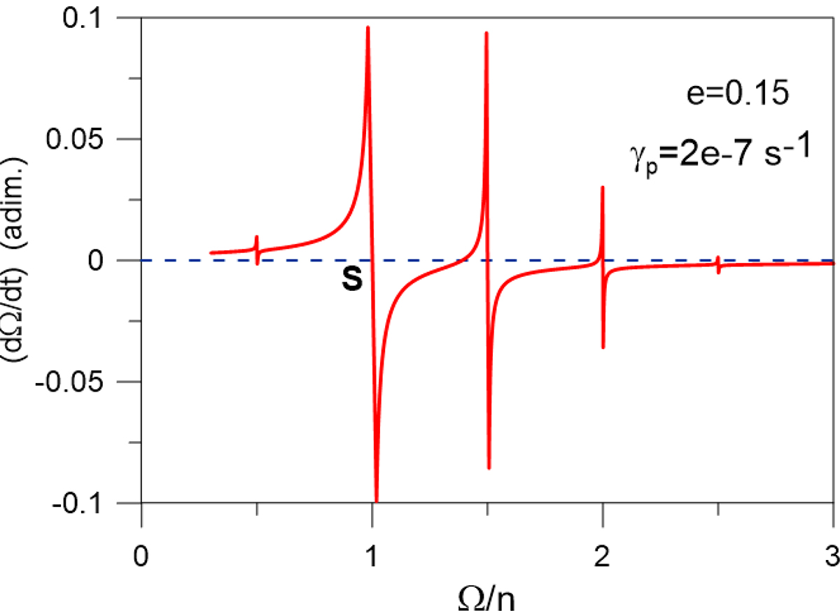
Fig. A.1.

image

Download original image

Phase plane ( Ω , Ω ˙ ) $ (\Omega, \langle \dot\Omega \rangle) $ of Eq. A.1 in the case of a hypothetical planet with the same characteristics as 55 Cnc e and an enhanced orbital eccentricity e  =  0.15. The point 𝕊 is the locus of the synchronous solution.

Current usage metrics show cumulative count of Article Views (full-text article views including HTML views, PDF and ePub downloads, according to the available data) and Abstracts Views on Vision4Press platform.

Data correspond to usage on the plateform after 2015. The current usage metrics is available 48-96 hours after online publication and is updated daily on week days.

Initial download of the metrics may take a while.