Open Access

Fig. B.2.

image

Download original image

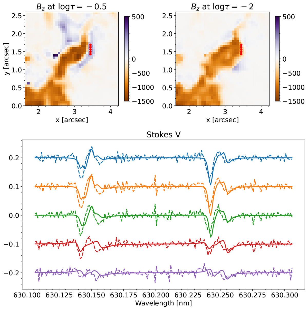
Top: Vertical magnetic field maps at the layer corresponding to log τ = −0.5 and log τ = −2. Note the asymmetric colorbar scale. Bottom: Stokes V profiles corresponding to the five red points in the top panels. The profiles have been offset vertically for clarity. Dashed and full lines denote observed and FIRTEZ-fitted spectra.

Current usage metrics show cumulative count of Article Views (full-text article views including HTML views, PDF and ePub downloads, according to the available data) and Abstracts Views on Vision4Press platform.

Data correspond to usage on the plateform after 2015. The current usage metrics is available 48-96 hours after online publication and is updated daily on week days.

Initial download of the metrics may take a while.