Open Access

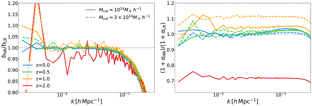
Fig. 3.

image

Download original image

Comparison of resolution effects on PINOCCHIO predictions for halo bias, b(k) (left) and shot-noise correction, α(k) (right). We show the ratio between high-resolution (HR; 100 C0 simulations) and low-resolution (LR; 20 simulations) results at redshifts z∈{0.0, 0.5, 1.0, 2.0} for two mass thresholds: Mcut = 1014Mh−1 (solid) and Mcut = 3×1014Mh−1 (dashed). While bias differences remain below 2 percent for z≤1.0, reaching 5 percent at z = 2 (the larger mass cut case is omitted for z = 2 due to noise), the shot-noise corrections converge within 10 percent for z≤1 but show 30 percent deviations at z = 2.

Current usage metrics show cumulative count of Article Views (full-text article views including HTML views, PDF and ePub downloads, according to the available data) and Abstracts Views on Vision4Press platform.

Data correspond to usage on the plateform after 2015. The current usage metrics is available 48-96 hours after online publication and is updated daily on week days.

Initial download of the metrics may take a while.