Open Access

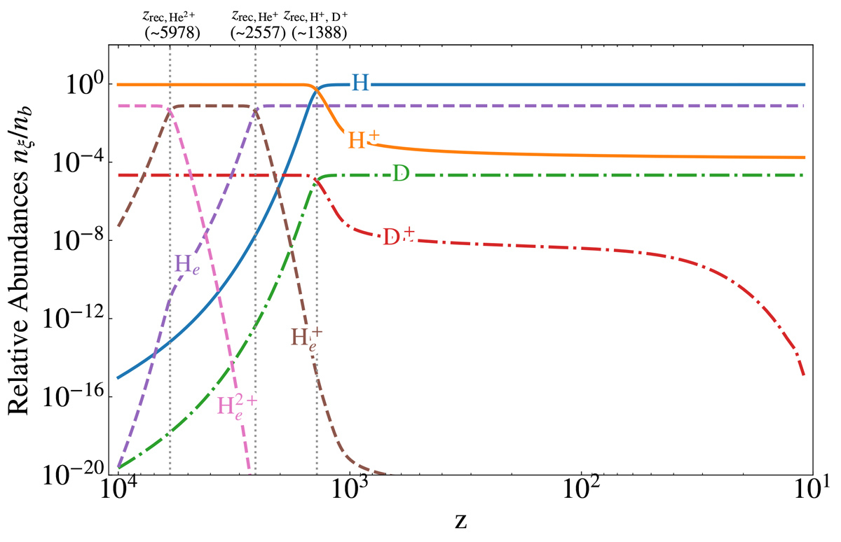
Fig. 1.

image

Download original image

Relative number densities of atomic and ion species with respect to the total density of baryons, as a function of redshift. The computation goes from z = 104 to z = 10. Hydrogen species are represented as full lines, helium as dashed lines, and deuterium as dash-dotted lines. We indicate the recombination redshifts of primordial helium, deuterium and hydrogen nuclei (He2+, He+, then D+ and H+) with vertical dotted line.

Current usage metrics show cumulative count of Article Views (full-text article views including HTML views, PDF and ePub downloads, according to the available data) and Abstracts Views on Vision4Press platform.

Data correspond to usage on the plateform after 2015. The current usage metrics is available 48-96 hours after online publication and is updated daily on week days.

Initial download of the metrics may take a while.