Fig. 4.
 
      Download original image
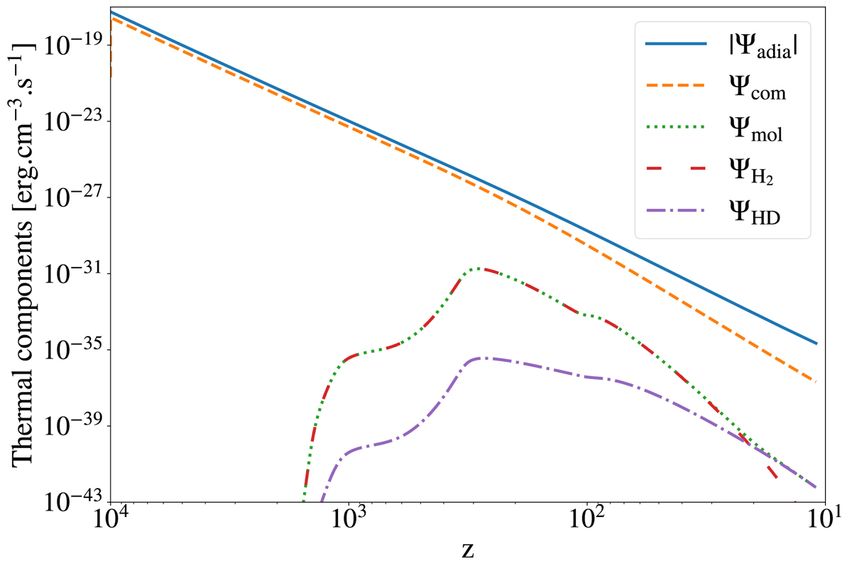
Evolution of cooling and heating components of the gas temperature as a function of redshift, in the homogeneous expanding universe scenario. All the components are described in terms of energy density per second. Ψadia arises from the expansion of the universe. As it is negative (cooling component), we display it as an absolute value. Ψcom is due to Compton coupling between matter and radiation.  corresponds to the thermal contribution of molecules H2 and HD.
 corresponds to the thermal contribution of molecules H2 and HD.
Current usage metrics show cumulative count of Article Views (full-text article views including HTML views, PDF and ePub downloads, according to the available data) and Abstracts Views on Vision4Press platform.
Data correspond to usage on the plateform after 2015. The current usage metrics is available 48-96 hours after online publication and is updated daily on week days.
Initial download of the metrics may take a while.
