Fig. 5.
 
      Download original image
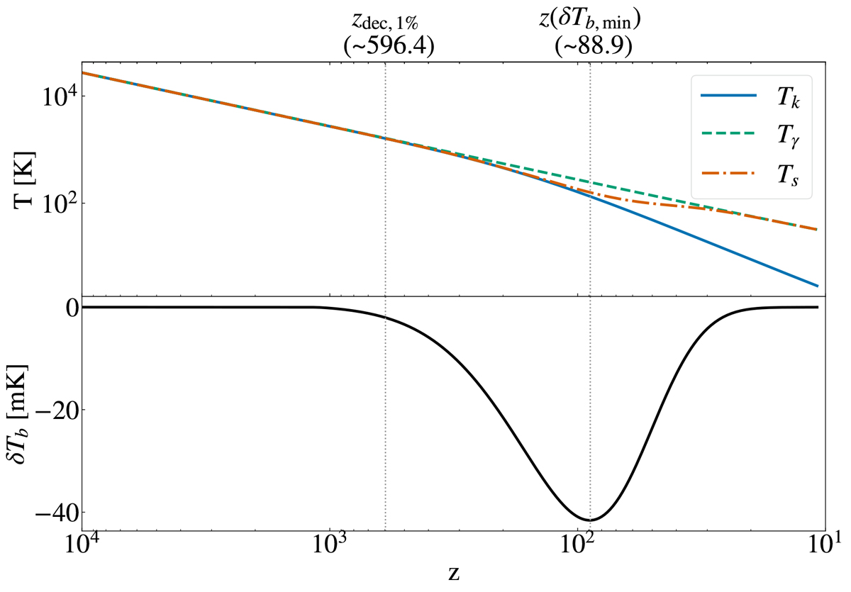
Top: Evolution of kinetic gas temperature, Tk (blue solid line), radiation temperature, Tγ (dashed green line), and 21 cm spin temperature, Ts (orange dash-dotted line), as a function of redshift. Bottom: Evolution of the global 21 cm differential brightness temperature as a function of redshift. At zdec,1% (Tk = 99% Tγ), thermal decoupling starts to be effective. At z(δTb,min), δTb reaches its lowest point, corresponding to the maximum absorption during the dark ages.
Current usage metrics show cumulative count of Article Views (full-text article views including HTML views, PDF and ePub downloads, according to the available data) and Abstracts Views on Vision4Press platform.
Data correspond to usage on the plateform after 2015. The current usage metrics is available 48-96 hours after online publication and is updated daily on week days.
Initial download of the metrics may take a while.
