Open Access

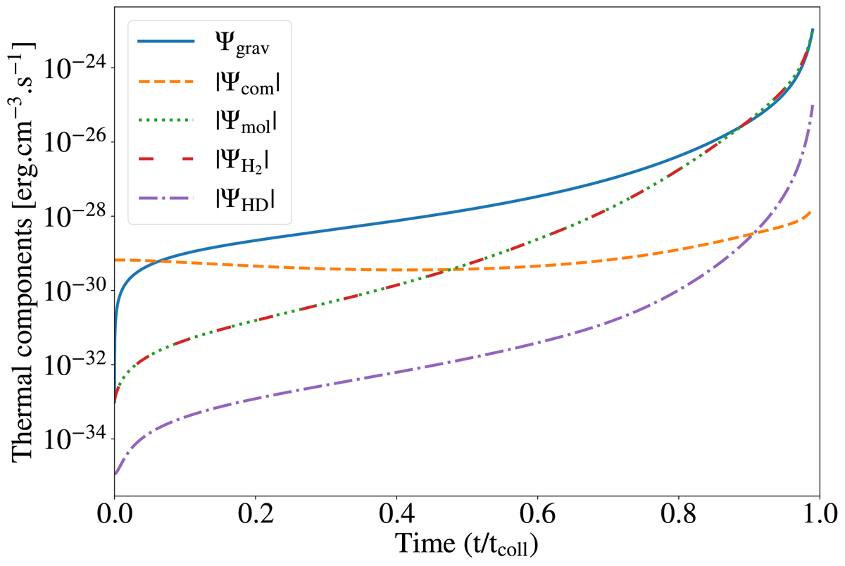
Fig. 6.

image

Download original image

Evolution of cooling and heating components of the gas temperature in a 108M collapsing cloud as a function of time, normalized by tcoll. All the components are described in terms of energy density per second. Ψgrav arises from to gravitational collapse of the gas; Ψcom is due to Compton coupling. Finally, Ψ mol = Ψ H 2 + Ψ HD $ \Psi _{\mathrm {mol}}=\Psi _{\mathrm {H_2}} +\Psi _{\mathrm {HD}} $ corresponds to the thermal contribution of molecules H2 and HD. The negative components Ψcom, Ψmol, Ψ H 2 $ \Psi _{\mathrm {H_2}} $, and ΨHD are displayed as absolute values.

Current usage metrics show cumulative count of Article Views (full-text article views including HTML views, PDF and ePub downloads, according to the available data) and Abstracts Views on Vision4Press platform.

Data correspond to usage on the plateform after 2015. The current usage metrics is available 48-96 hours after online publication and is updated daily on week days.

Initial download of the metrics may take a while.