Fig. 9.
 
      Download original image
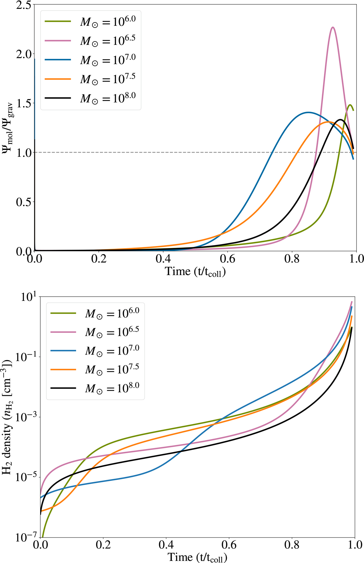
Top: Evolution of ratio between Ψmol and Ψgrav thermal channels, arising from molecular excitation and gravitational contraction respectively, for clouds between 106.0 and 108.0 M⊙, as a function of the time to collapse. Bottom: H2 number density evolution as a function of the time to collapse, for clouds between 106.0 and 108.0 M⊙.
Current usage metrics show cumulative count of Article Views (full-text article views including HTML views, PDF and ePub downloads, according to the available data) and Abstracts Views on Vision4Press platform.
Data correspond to usage on the plateform after 2015. The current usage metrics is available 48-96 hours after online publication and is updated daily on week days.
Initial download of the metrics may take a while.
