Open Access

Fig. 4.

image

Download original image

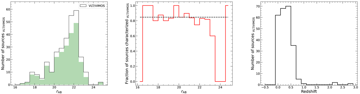
Left: r magnitude distribution of the sources in our VIMOS survey. The sources characterized with a redshift are represented in green, and the complete sample is represented by the solid black line. Center: Fraction of sources characterized with a redshift per magnitude bin. The mean of this fraction considering only the 17.5 < r < 22.5 interval is marked by the dashed black line. On average, we have measured the redshift of ∼84% of the sources in our VIMOS survey. Left: Redshift distribution of the sources in our VLT/VIMOS survey.

Current usage metrics show cumulative count of Article Views (full-text article views including HTML views, PDF and ePub downloads, according to the available data) and Abstracts Views on Vision4Press platform.

Data correspond to usage on the plateform after 2015. The current usage metrics is available 48-96 hours after online publication and is updated daily on week days.

Initial download of the metrics may take a while.