Fig. 1.
 
      Download original image
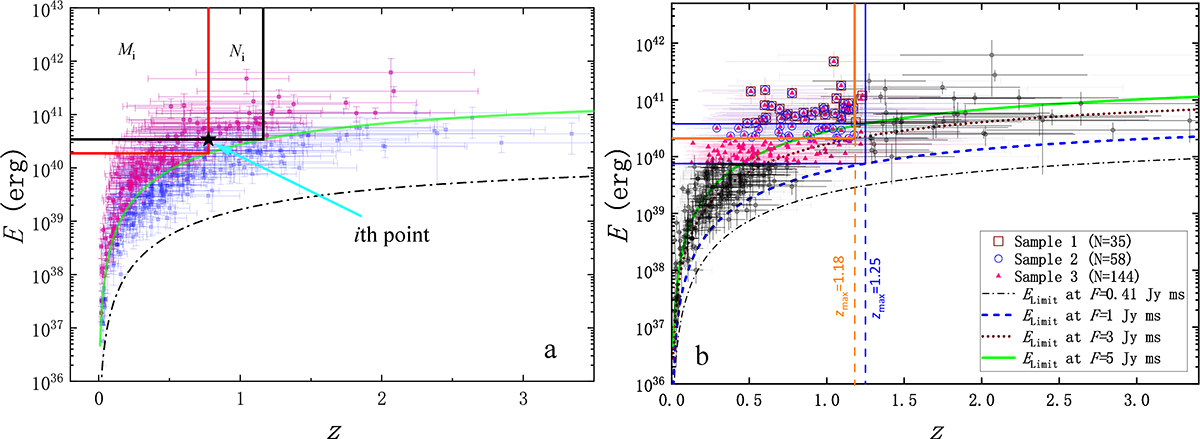
Energy-redshift relations of CHIME FRBs. Three volume-limited samples of 35, 58, and 144 FRBs enclosed in rectangles in panel b are drawn from the full sample of 366 FRBs above the dash-dotted line in panel a with the fluence-cuts of 5 (solid green curve), 3 (dotted purple curve), and 1 (dashed blue curve) Jy ms, correspondingly.
Current usage metrics show cumulative count of Article Views (full-text article views including HTML views, PDF and ePub downloads, according to the available data) and Abstracts Views on Vision4Press platform.
Data correspond to usage on the plateform after 2015. The current usage metrics is available 48-96 hours after online publication and is updated daily on week days.
Initial download of the metrics may take a while.
