Open Access

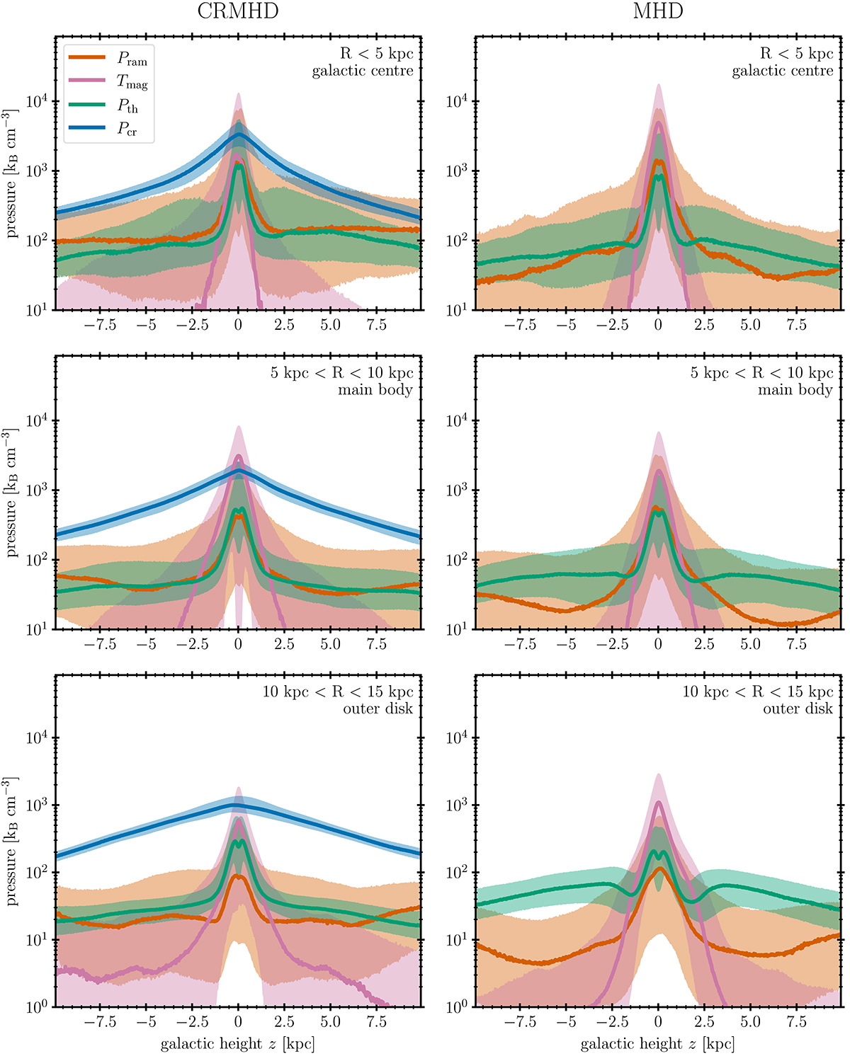
Fig. 7.

image

Download original image

Vertical pressure profiles through the galactic disk and the inner CGM of both the CRMHD (left) and MHD (right) simulations. We show the vertical ram pressure P ram = ρ v z 2 $ P_{\textrm {ram}} = \rho {v}_z^2 $, vertical magnetic stress T mag = ( B x 2 + B y 2 B z 2 ) / 8 π $ T_{\textrm {mag}} = (B_x^2 + B_y^2 - B_z^2) / 8 \pi $, thermal pressure Pth, and CR pressure Pcr. The respective thick lines show the volume-weighted median values at each galactic height while the shaded regions enclose the 20th to 80th volume-weighted percentiles. We differentiate between three regions: the inner galactic disk R/kpc<5 (top panels), the main body of the galactic disk 5<R/kpc<10, and the outer (still star-forming) galactic disk 10<R/kpc<15. Most non-CR pressure components show similar values if we compare the CRMHD and MHD simulations at similar galactic radii. Their values show a rapid decline from the galactic disk into the CGM. The CR pressure shows larger scale heights and is the dominant pressure component inside the inner CGM.

Current usage metrics show cumulative count of Article Views (full-text article views including HTML views, PDF and ePub downloads, according to the available data) and Abstracts Views on Vision4Press platform.

Data correspond to usage on the plateform after 2015. The current usage metrics is available 48-96 hours after online publication and is updated daily on week days.

Initial download of the metrics may take a while.