Open Access

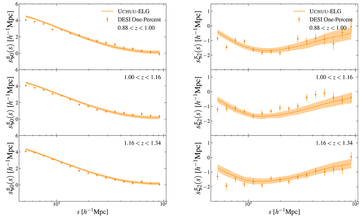
Fig. 10.

image

Download original image

Measurement of the monopole and quadrupole of the redshift-space correlation function for ELGs from the DESI One-Percent parent samples in their respective redshift bins. The solid curves show the mean of the 102 UCHUU One-Percent mocks, where the shaded region is the error from their RMS. DESI One-Percent clustering measurements are indicated by the points with error bars, where the errors are the 1σ scatter between the mocks. We note the agreement between data and model on scales larger than 2 h−1 Mpc, and the noticeable difference on the smallest scales, see text.

Current usage metrics show cumulative count of Article Views (full-text article views including HTML views, PDF and ePub downloads, according to the available data) and Abstracts Views on Vision4Press platform.

Data correspond to usage on the plateform after 2015. The current usage metrics is available 48-96 hours after online publication and is updated daily on week days.

Initial download of the metrics may take a while.