Open Access

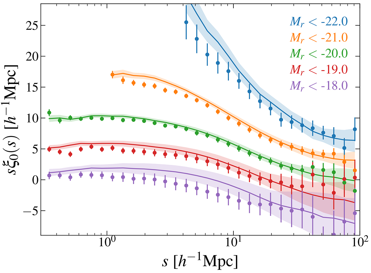
Fig. 8.

image

Download original image

Monopole of the correlation function for BGS galaxies in volume-limited samples. The legend shows different magnitude thresholds with corresponding colours. The solid curves represent the mean of 102 independent UCHUU One-Percent mocks, while the shaded region denotes the error from the RMS of the mocks. DESI One-Percent clustering measurements are indicated by the points with error bars, where the errors are the 1σ scatter between the mocks. Each magnitude threshold sample is vertically offset relative to the Mr<−20 sample.

Current usage metrics show cumulative count of Article Views (full-text article views including HTML views, PDF and ePub downloads, according to the available data) and Abstracts Views on Vision4Press platform.

Data correspond to usage on the plateform after 2015. The current usage metrics is available 48-96 hours after online publication and is updated daily on week days.

Initial download of the metrics may take a while.