Open Access

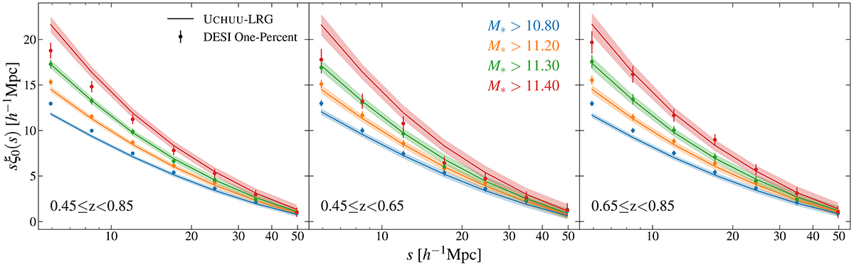
Fig. 9.

image

Download original image

Monopole of the correlation function for LRG galaxies, in stellar mass threshold samples and for different redshift bins. The legend shows different stellar mass thresholds with corresponding colours, and the redshift ranges are 0.45≤z<0.85, 0.45≤z<0.65, and 0.65≤z<0.85 from left to right.

Current usage metrics show cumulative count of Article Views (full-text article views including HTML views, PDF and ePub downloads, according to the available data) and Abstracts Views on Vision4Press platform.

Data correspond to usage on the plateform after 2015. The current usage metrics is available 48-96 hours after online publication and is updated daily on week days.

Initial download of the metrics may take a while.