Open Access

Fig. B.1.

image

Download original image

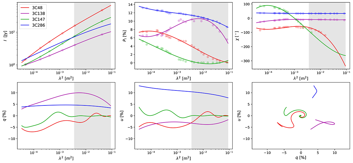
IIPolarization properties for the standard calibrators from Perley & Butler (2013a,b). Top row: observed values of I, pl, and χ, along with the best-fit functions. Bottom row: Stokes quantities q = Q/I, u = U/I, and q − u plane, respectively. The shaded gray area in the panels highlights the wavelength range covered by our synthetic Faraday rotation observations. This range corresponds to the frequency interval of 1-5 GHz.

Current usage metrics show cumulative count of Article Views (full-text article views including HTML views, PDF and ePub downloads, according to the available data) and Abstracts Views on Vision4Press platform.

Data correspond to usage on the plateform after 2015. The current usage metrics is available 48-96 hours after online publication and is updated daily on week days.

Initial download of the metrics may take a while.