Open Access

Fig. 10.

image

Download original image

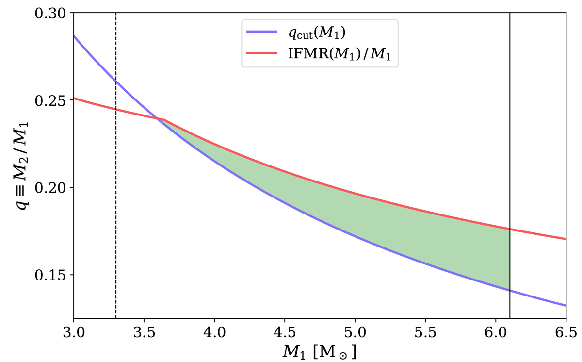
Parameter space for ZAMS systems progenitors of SySt and possible SNe Ia (green filled region). The solid blue line shows the behavior of qcut(M1), and the solid red line that of the upper limit IFMR(M1) / M1 – their interception happens at M1 ∼ 3.6 M. The solid vertical line marks the upper mass limit for C+O WDs of 6.1 M, and the dashed vertical line the lower limit of 3.3 M for ZAMS stars progenitors of 0.8 M WDs.

Current usage metrics show cumulative count of Article Views (full-text article views including HTML views, PDF and ePub downloads, according to the available data) and Abstracts Views on Vision4Press platform.

Data correspond to usage on the plateform after 2015. The current usage metrics is available 48-96 hours after online publication and is updated daily on week days.

Initial download of the metrics may take a while.