Open Access
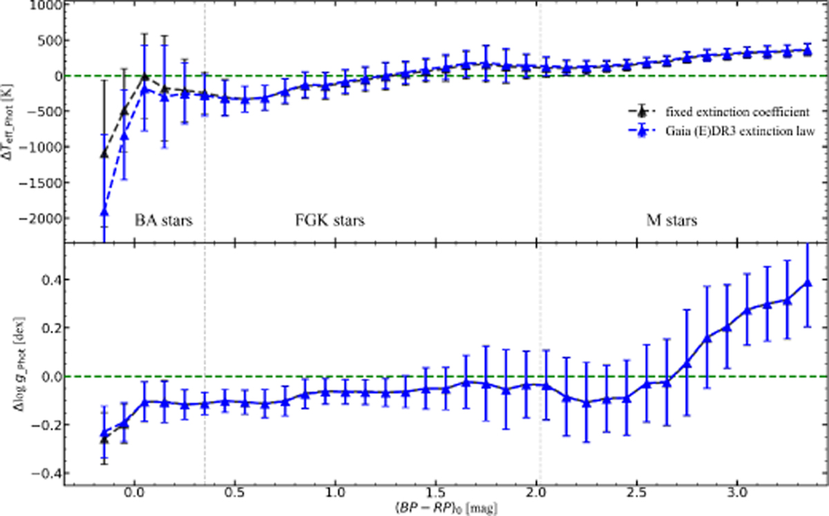
Fig. 10
 
      Download original image
Deviation distribution of the Teff (upper panel) and log g (lower panel) of GSP-Phot from the theoretical values obtained using different extinction laws. The dashed black and blue lines represent, respectively, the results obtained using the fixed extinction coefficient and Gaia (E)DR3 extinction law.
Current usage metrics show cumulative count of Article Views (full-text article views including HTML views, PDF and ePub downloads, according to the available data) and Abstracts Views on Vision4Press platform.
Data correspond to usage on the plateform after 2015. The current usage metrics is available 48-96 hours after online publication and is updated daily on week days.
Initial download of the metrics may take a while.
