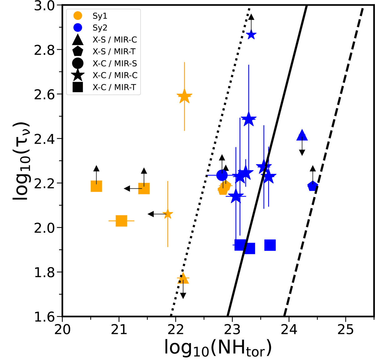
Fig. 8.
 
      Download original image
Optical depth of the dust versus hydrogen column density of the gas. Sy1s are shown in orange and Sy2s are shown in blue. Symbols refer to the best baseline model per object. The dotted, solid, and dashed black lines show 10, 1, and 0.1 times the Galactic dust-to-gas ratio, respectively. Objects with upper/lower limits are shown with smaller symbols for clarity.
Current usage metrics show cumulative count of Article Views (full-text article views including HTML views, PDF and ePub downloads, according to the available data) and Abstracts Views on Vision4Press platform.
Data correspond to usage on the plateform after 2015. The current usage metrics is available 48-96 hours after online publication and is updated daily on week days.
Initial download of the metrics may take a while.
