Open Access

Fig. 4.

image

Download original image

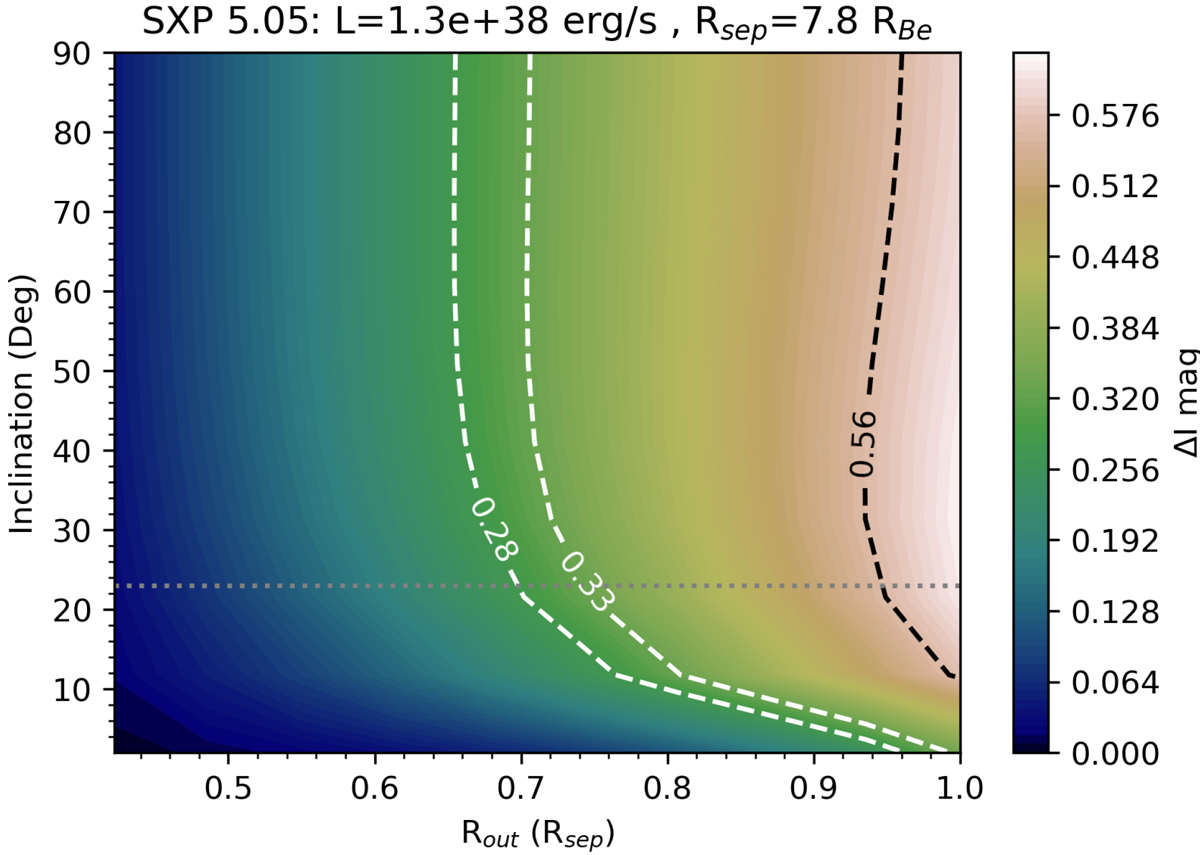
Heat map of simulated maximum (disk is seen face on by observer) flare intensity (ΔI) for SXP 5.05 for inner disk radius RBe = 3R. White contours indicate the observed ΔI (Table 2), while the black contour was computed assuming the disk is seen at some moderate inclination (i.e., 60°). Minimum Rout is the Be disk size and maximum should be ∼0.8Rsep, which is roughly the Roche-lobe radius.

Current usage metrics show cumulative count of Article Views (full-text article views including HTML views, PDF and ePub downloads, according to the available data) and Abstracts Views on Vision4Press platform.

Data correspond to usage on the plateform after 2015. The current usage metrics is available 48-96 hours after online publication and is updated daily on week days.

Initial download of the metrics may take a while.