Open Access

Fig. 7.

image

Download original image

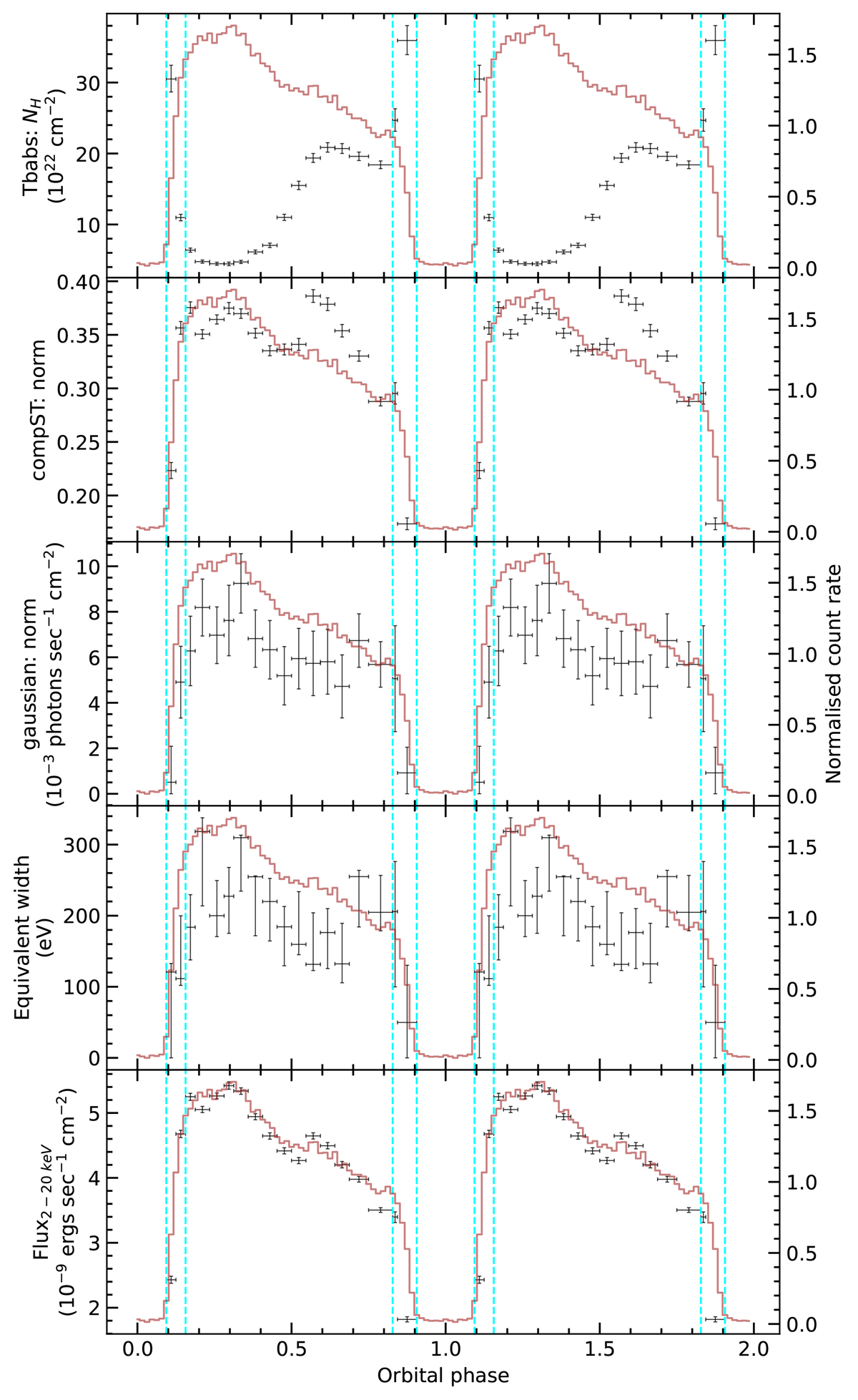
Variation in spectral parameters (black) obtained from orbital-phase resolved spectroscopy. The error bars are at the 90% confidence level. The orbital profile (brown) is plotted in the 2.0−20.0 keV energy band. The vertical lines (cyan) are drawn to denote the four different regions (eclipse, egress, OOE, and ingress).

Current usage metrics show cumulative count of Article Views (full-text article views including HTML views, PDF and ePub downloads, according to the available data) and Abstracts Views on Vision4Press platform.

Data correspond to usage on the plateform after 2015. The current usage metrics is available 48-96 hours after online publication and is updated daily on week days.

Initial download of the metrics may take a while.