Open Access

Fig. 1

image

Download original image

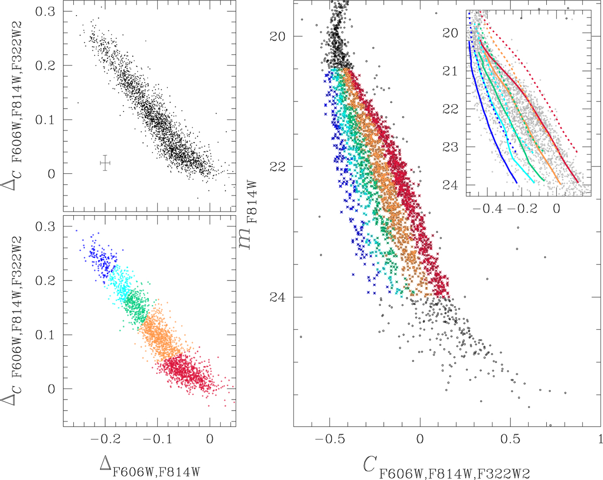
ΔCF606W,F814W,F322W2 vs. ΔFg06w,F814w ChMs for M dwarfs with 20.5 < mF814W < 24.00 mag (left panels) and mF814W vs. CF606W,F814W,F322W2 pseudo-CMD of M dwarfs from Marino et al. (2024a, right panel). The probable 1P, 2PA, 2PB, 2PC, and 2PD stars, selected from the ChM, are coloured crimson, orange, green, cyan, and blue, respectively. The inset in the right panel is a zoomed-in view of the mF814W vs. CF606W,F814W,F322W2 pseudo-CMD around the MS region, where the five stellar populations are more clearly distinguishable. The fiducial lines of the five stellar populations are represented with solid coloured lines, while the dotted lines represent the corresponding fiducial lines for equal-luminosity binaries.

Current usage metrics show cumulative count of Article Views (full-text article views including HTML views, PDF and ePub downloads, according to the available data) and Abstracts Views on Vision4Press platform.

Data correspond to usage on the plateform after 2015. The current usage metrics is available 48-96 hours after online publication and is updated daily on week days.

Initial download of the metrics may take a while.