Open Access

Fig. 3

image

Download original image

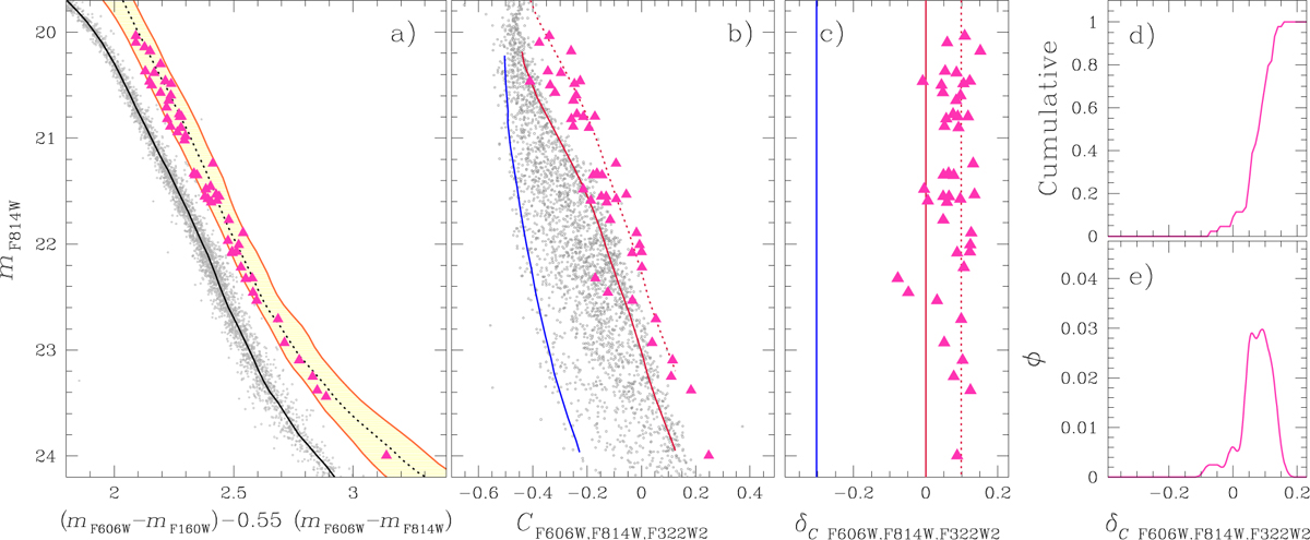
Panel a: reproduction of the mF814W vs. (mF606WmF160W)-0.55(mF606WmF814W) pseudo-CMD of Fig. 2. The MS fiducial is represented with the solid black line, whereas the dotted line is the fiducial of equal-luminosity binaries. The orange lines mark the boundaries of the yellow shaded region that we used to select the binaries (magenta triangles). Panel b: mF814W vs. CF606W,F814W,F322W2 pseudo-CMD. The fiducials of 1P and 2PD stars are represented with solid red and blue lines, respectively, and the equal-luminosity 1P binaries fiducial is indicated by the dotted red line. Panel c: verticalized mF814W vs. δCF606W,F814W,F322W2 diagram. Panels d and e: δcF606W,F814W,F322W2 cumulative and kernel-density distributions, respectively.

Current usage metrics show cumulative count of Article Views (full-text article views including HTML views, PDF and ePub downloads, according to the available data) and Abstracts Views on Vision4Press platform.

Data correspond to usage on the plateform after 2015. The current usage metrics is available 48-96 hours after online publication and is updated daily on week days.

Initial download of the metrics may take a while.