Open Access

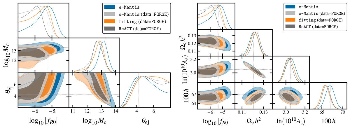
Fig. 9.

image

Download original image

Constraints on parameters from the WL pessimistic setting with baryons. As in Fig. 7, we show the case where e-Mantis is used to create both the data and fitting as well as the case where FORGE is used to create the data and it is fitted by e-Mantis, ReACT and the fitting formula. Left panel: Constraints on baryonic parameters. Right panel: Constraints on cosmological parameters.

Current usage metrics show cumulative count of Article Views (full-text article views including HTML views, PDF and ePub downloads, according to the available data) and Abstracts Views on Vision4Press platform.

Data correspond to usage on the plateform after 2015. The current usage metrics is available 48-96 hours after online publication and is updated daily on week days.

Initial download of the metrics may take a while.