Open Access

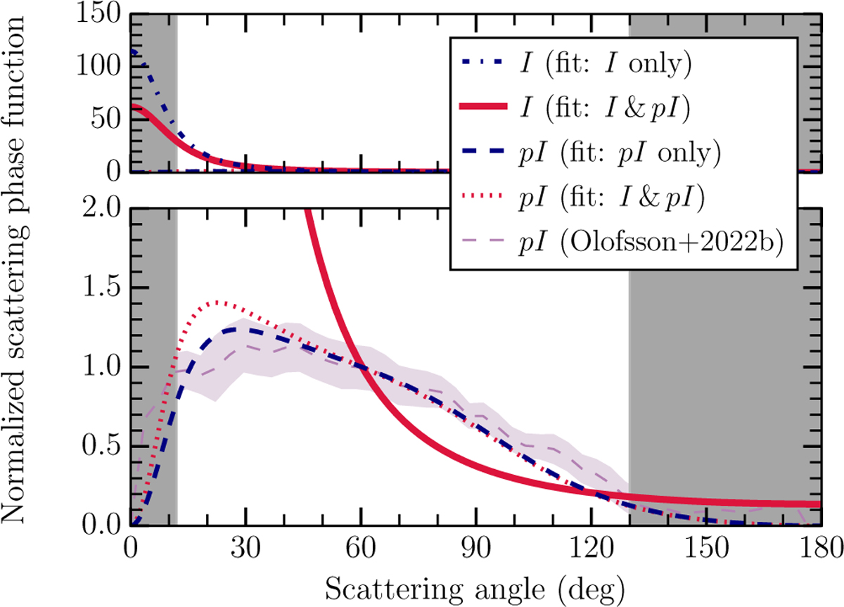
Fig. 7

image

Download original image

Scattering phase function for our best model of the polarized and total intensity observation, fit independently or jointly. For comparison, we added the model retrieved by Olofsson et al. (2022b) for the polarized intensity data. We hide the part below 12° and above 130°, because we do not detect the disk for such scattering angles, neither in polarized or total intensity light (see text).

Current usage metrics show cumulative count of Article Views (full-text article views including HTML views, PDF and ePub downloads, according to the available data) and Abstracts Views on Vision4Press platform.

Data correspond to usage on the plateform after 2015. The current usage metrics is available 48-96 hours after online publication and is updated daily on week days.

Initial download of the metrics may take a while.