Open Access

Fig. 8

image

Download original image

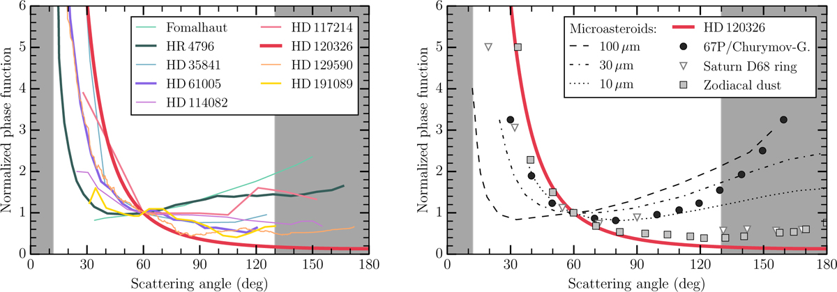
Scattering phase function of the inner belt of HD 120326 seen in total intensity compared to other extrasolar debris disks (left) and different dust populations in the Solar System (right).

Current usage metrics show cumulative count of Article Views (full-text article views including HTML views, PDF and ePub downloads, according to the available data) and Abstracts Views on Vision4Press platform.

Data correspond to usage on the plateform after 2015. The current usage metrics is available 48-96 hours after online publication and is updated daily on week days.

Initial download of the metrics may take a while.