Open Access

Fig. 14

image

Download original image

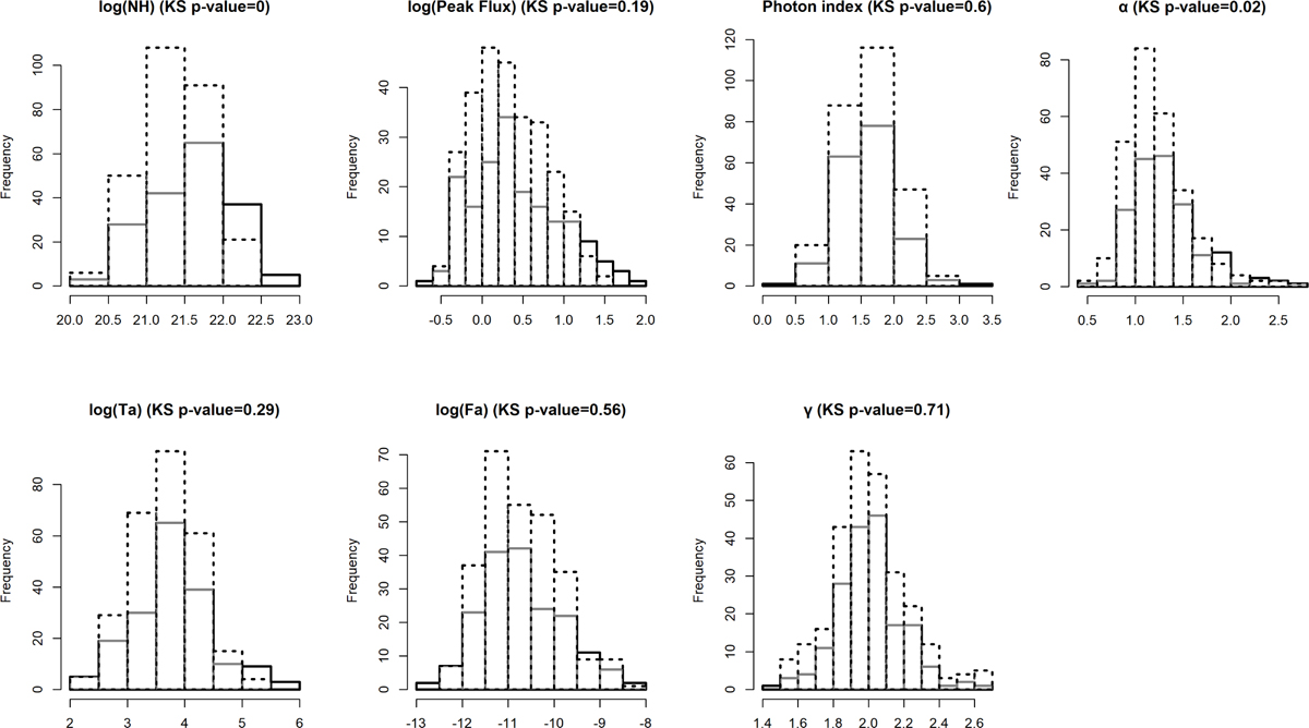
Histograms showing the distribution of the seven features of the generalization set against the training set. The KS test p-value scores are shown in the title of each figure. The dashed lines and solid lines represent the generalization and training sets, respectively.

Current usage metrics show cumulative count of Article Views (full-text article views including HTML views, PDF and ePub downloads, according to the available data) and Abstracts Views on Vision4Press platform.

Data correspond to usage on the plateform after 2015. The current usage metrics is available 48-96 hours after online publication and is updated daily on week days.

Initial download of the metrics may take a while.