Open Access

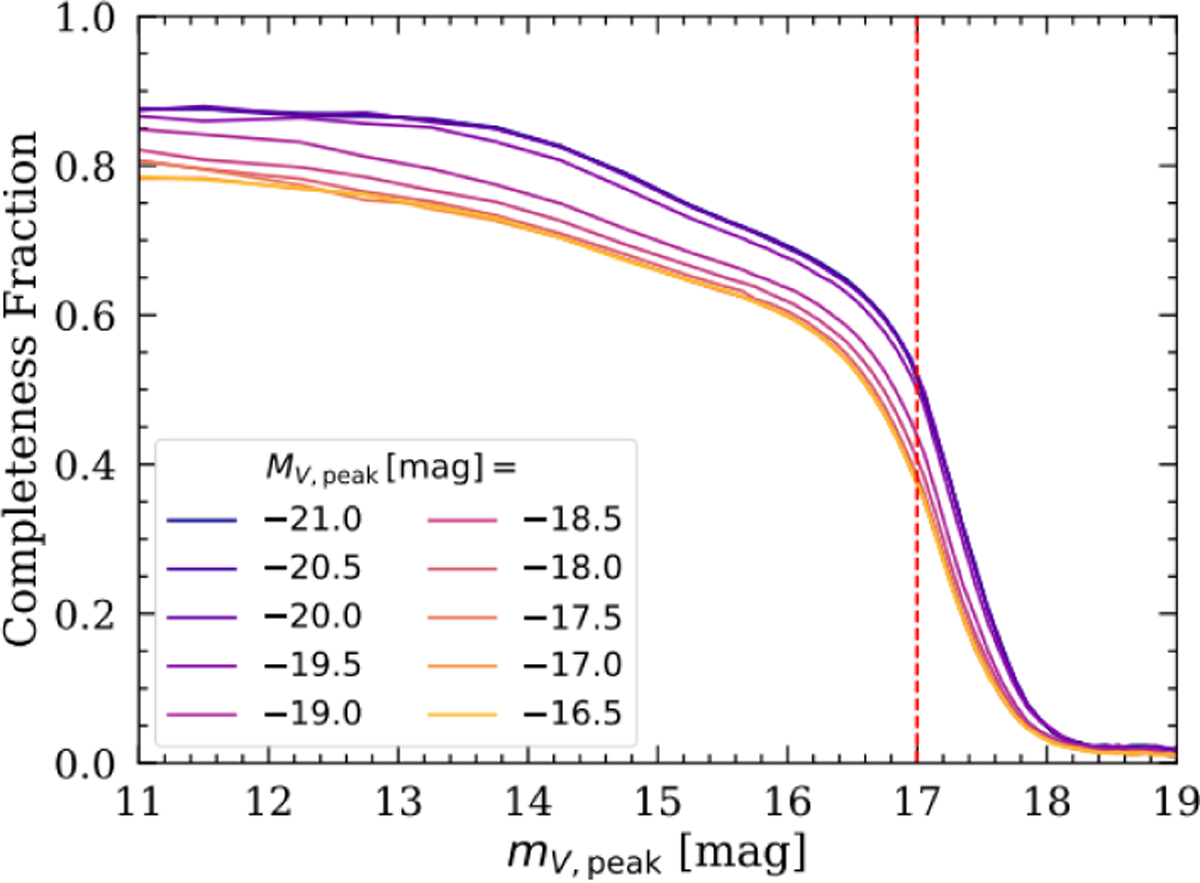
Fig. A.3

image

Download original image

Completeness as a function of peak apparent magnitude mV,peak with the peak absolute magnitudes MV,peak shown in different colors. The vertical dashed red line marks our standard choice for the limiting magnitude, mV,lim = 17 mag, where the completeness is ∼ 50%. This is Fig. 4 from Desai et al. (2024).

Current usage metrics show cumulative count of Article Views (full-text article views including HTML views, PDF and ePub downloads, according to the available data) and Abstracts Views on Vision4Press platform.

Data correspond to usage on the plateform after 2015. The current usage metrics is available 48-96 hours after online publication and is updated daily on week days.

Initial download of the metrics may take a while.