Open Access

Fig. 5.

image

Download original image

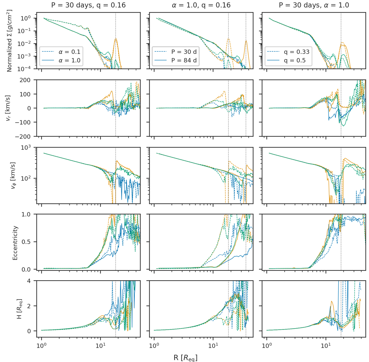
Surface density, radial velocity, azimuthal velocity, eccentricity of the particles’ orbits, and scale height varying with radius for models 30-1.0-0.16 and 30-0.1-0.16 in the leftmost panels, 30-1.0-0.16 and 84-1.0-0.16 for the middle panels, and 30-1.0-0.33 and 30-1.0-0.50 for the rightmost panels. The colors of the lines indicate the wedges along which the quantities are calculated, following Fig. 2: yellow is the wedge pointing to the secondary, blue is the wedge in the opposite direction, and green includes part of the stronger spiral arm. The dotted gray lines show the position of the secondary for the models compared in each column.

Current usage metrics show cumulative count of Article Views (full-text article views including HTML views, PDF and ePub downloads, according to the available data) and Abstracts Views on Vision4Press platform.

Data correspond to usage on the plateform after 2015. The current usage metrics is available 48-96 hours after online publication and is updated daily on week days.

Initial download of the metrics may take a while.