Open Access

Fig. 1.

image

Download original image

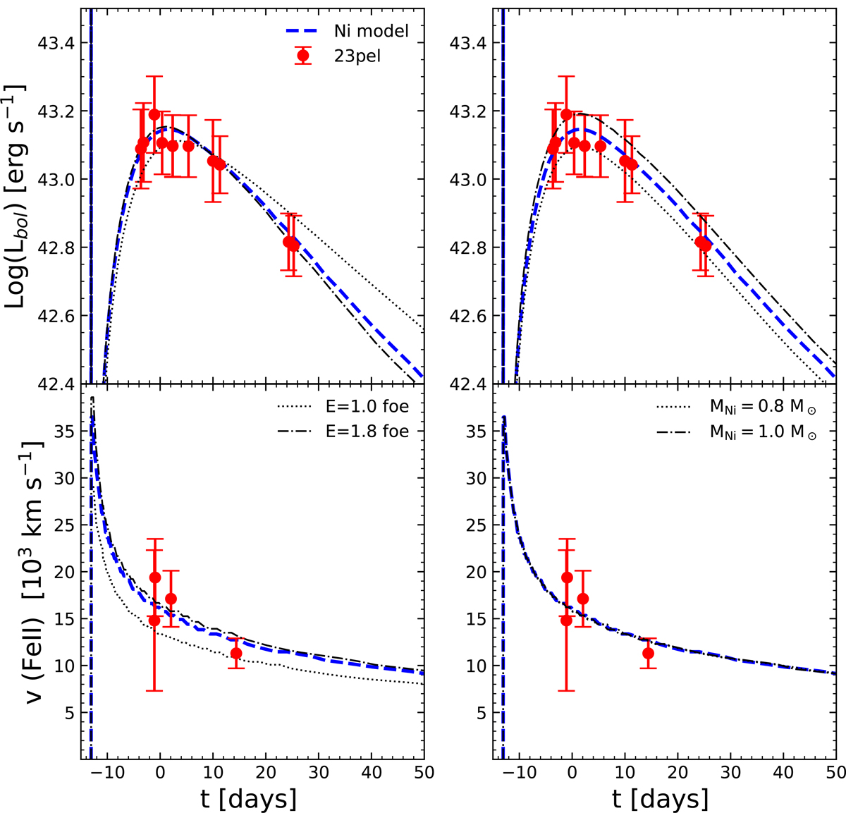
Best model for the Ni scenario: the He3.3 model, with an explosion energy of E = 1.6 foe and MNi = 0.9 M (dashed blue line). Two additional models, with variations in E (left panel) and MNi (right panel), are presented with black lines. These models can also be considered acceptable solutions, thus providing a range of validity for our physical parameters.

Current usage metrics show cumulative count of Article Views (full-text article views including HTML views, PDF and ePub downloads, according to the available data) and Abstracts Views on Vision4Press platform.

Data correspond to usage on the plateform after 2015. The current usage metrics is available 48-96 hours after online publication and is updated daily on week days.

Initial download of the metrics may take a while.