Open Access
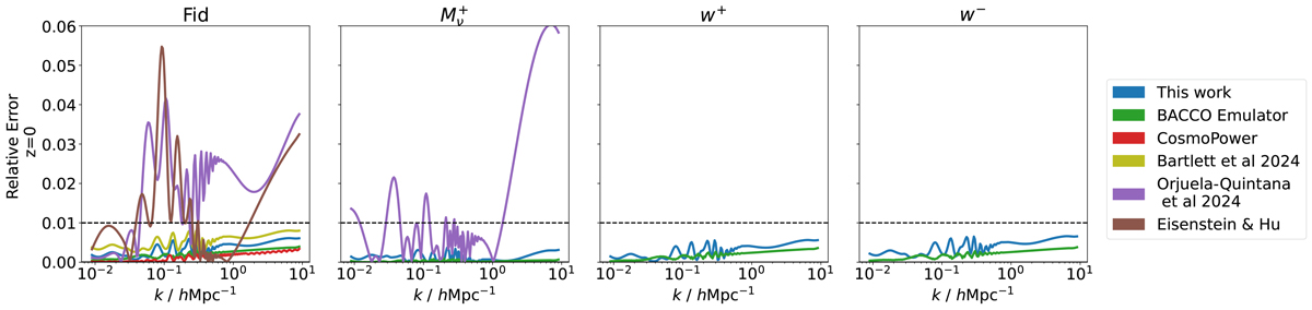
Fig. 10.
 
      Download original image
Absolute fractional error on the linear power spectrum as a function of wavenumber, k, for various emulators at redshift 0. We apply each emulator only to test data that falls within its defined parameter space.
Current usage metrics show cumulative count of Article Views (full-text article views including HTML views, PDF and ePub downloads, according to the available data) and Abstracts Views on Vision4Press platform.
Data correspond to usage on the plateform after 2015. The current usage metrics is available 48-96 hours after online publication and is updated daily on week days.
Initial download of the metrics may take a while.
