Open Access

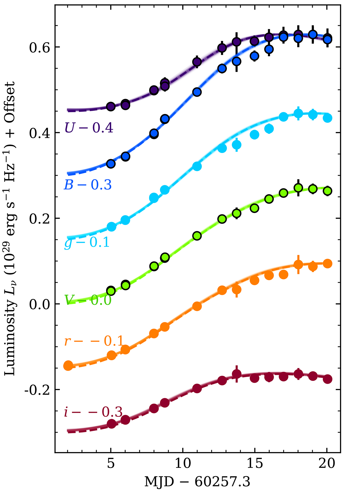
Fig. 10.

image

Download original image

Analysis outcomes for the initial multiband (UBVgri) luminosity profiles of SN 2023xqm. The light curves are compared with the model proposed by Kasen (2010), which takes into account the dynamic exchange between the supernova’s expelled materials and its nondegenerate companion star within a binary system. Dashed lines in the plots represent the “normal” type Ia component of the model, specifically the SiFTO template proposed by Conley et al. (2008). Solid lines depict the combined companion-shocking and SiFTO template model. Observed values are indicated by dots on the plot. The x-axis indicates the temporal progression in relation to the detonation, while the y-axis corresponds to the emitted light intensity.

Current usage metrics show cumulative count of Article Views (full-text article views including HTML views, PDF and ePub downloads, according to the available data) and Abstracts Views on Vision4Press platform.

Data correspond to usage on the plateform after 2015. The current usage metrics is available 48-96 hours after online publication and is updated daily on week days.

Initial download of the metrics may take a while.