Open Access

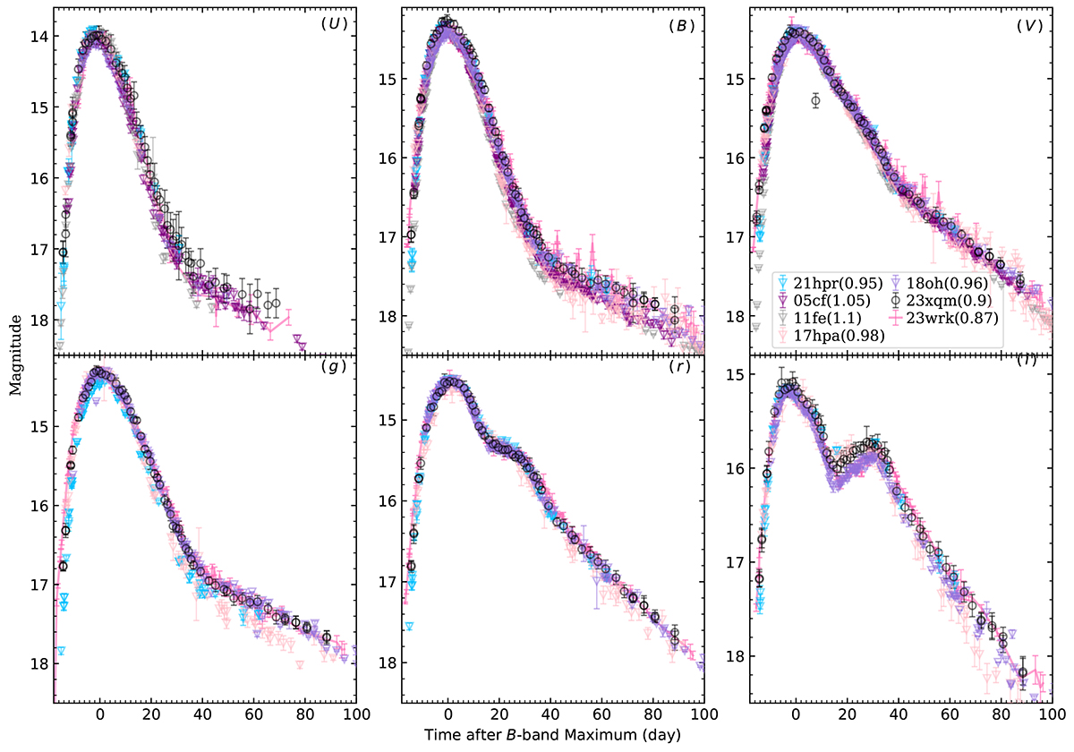
Fig. 3.

image

Download original image

Comparative analysis of the optical light curves (in the UBVgri bands) of SN 2023xqm with several well-observed SNe Ia. The light curves of the compared SNe Ia have been scaled to align with the peak magnitudes of SN 2023xqm.

Current usage metrics show cumulative count of Article Views (full-text article views including HTML views, PDF and ePub downloads, according to the available data) and Abstracts Views on Vision4Press platform.

Data correspond to usage on the plateform after 2015. The current usage metrics is available 48-96 hours after online publication and is updated daily on week days.

Initial download of the metrics may take a while.