Open Access

Fig. 6

image

Download original image

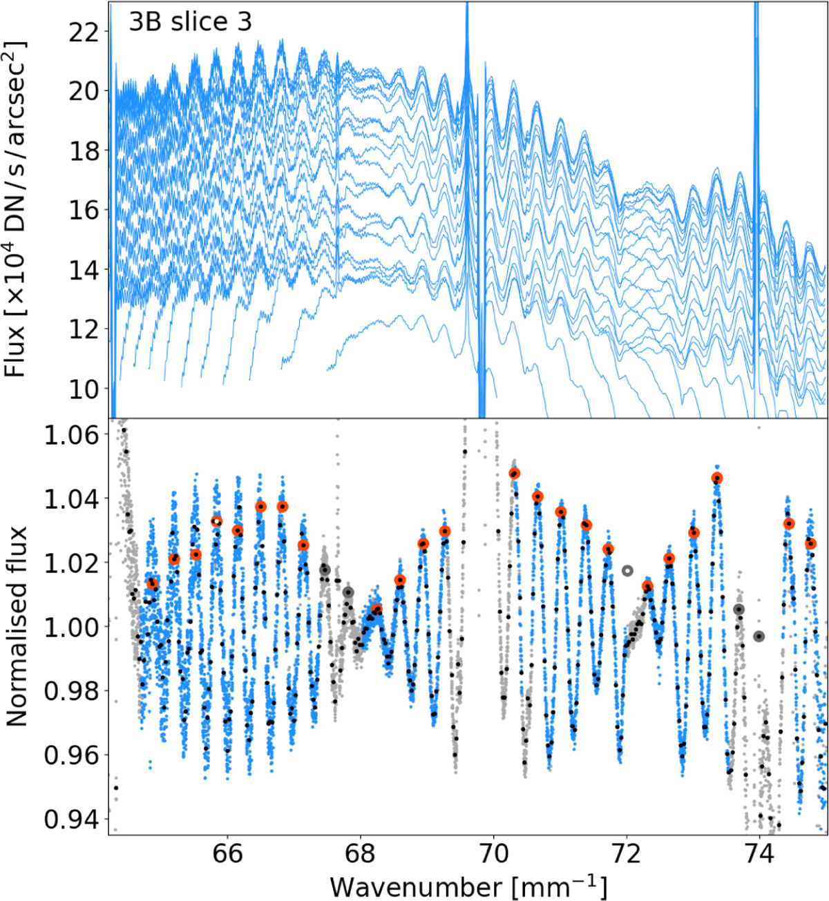
Flux normalisation and search for local maxima for band 3B, slice 3 for the Cat’s Eye Nebula data. Top: flux for all columns of the slice measured from the ‘rate’ files. Spikes seen on all columns are spectral lines from the source. Bottom: normalised flux after removing the continuum for each column (blue points), masked regions (grey points), normalised flux after binning (black points), and local maxima (red circles) including those that were initially missed (white points) or were discarded (grey circles).

Current usage metrics show cumulative count of Article Views (full-text article views including HTML views, PDF and ePub downloads, according to the available data) and Abstracts Views on Vision4Press platform.

Data correspond to usage on the plateform after 2015. The current usage metrics is available 48-96 hours after online publication and is updated daily on week days.

Initial download of the metrics may take a while.