Open Access

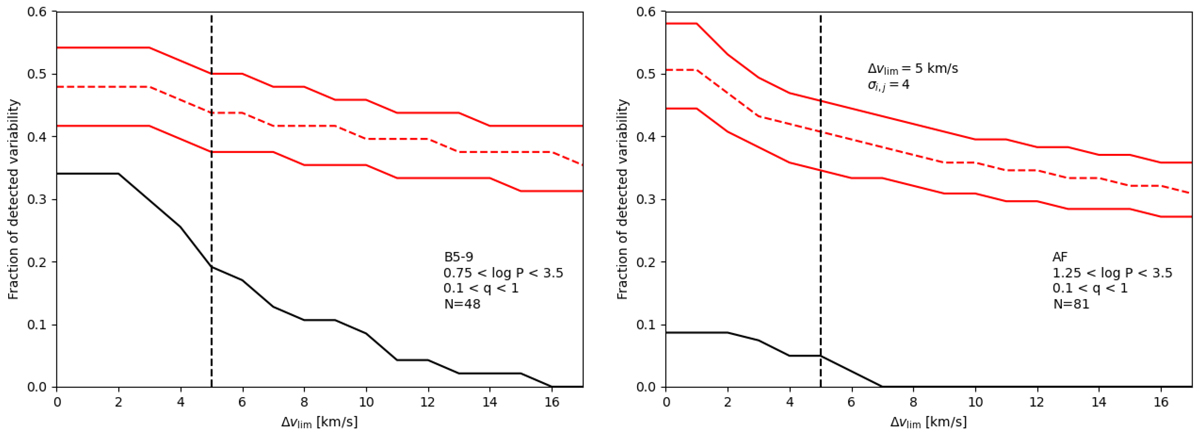
Fig. 9.

image

Download original image

Fraction of detected binarity as function of Δvlim. The solid black line in the left panel shows the B5–9 supergiants, and the right panel is the same, except for AF supergiants. The dashed red lines show the simulated binary fraction assuming an intrinsic binary fraction on the main sequence of 75 ± 10% – to roughly match that of Villaseñor et al. (2025) – which was evolved to remove binary systems that would have since interacted based on the current sizes of the stars. The solid red lines show the bounds of the assumed uncertainty on the intrinsic multiplicity fraction.

Current usage metrics show cumulative count of Article Views (full-text article views including HTML views, PDF and ePub downloads, according to the available data) and Abstracts Views on Vision4Press platform.

Data correspond to usage on the plateform after 2015. The current usage metrics is available 48-96 hours after online publication and is updated daily on week days.

Initial download of the metrics may take a while.