Open Access

Fig. 7

image

Download original image

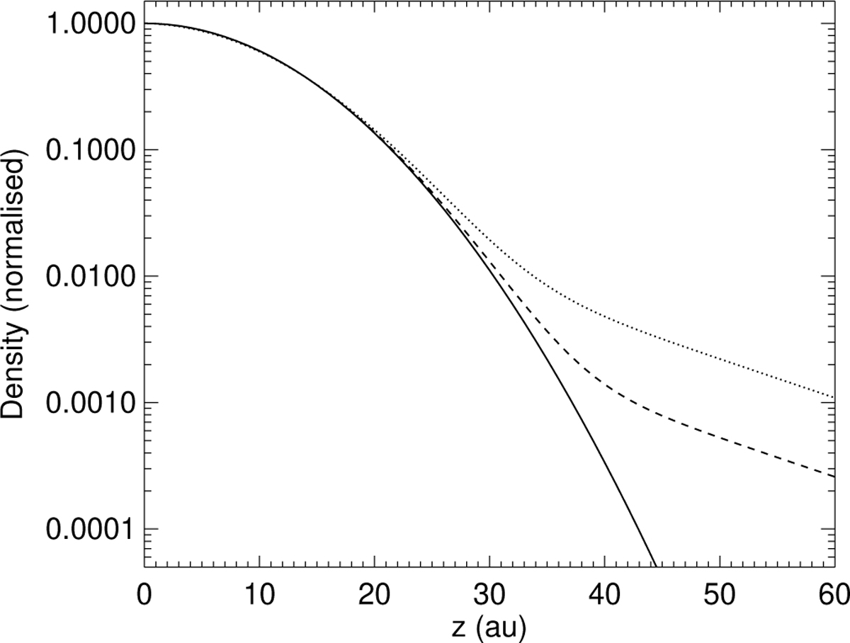
Vertical density profile for a scale height of H0 = 10, normalised to the midplane density, considering an isothermal model (solid line) and including an extended atmosphere as shown in Eq. (4) for ϵ = 2.5 (dotted line) and 4 (dashed line), corresponding to an atmosphere contributing above about 3–4 × z/h. The integral of the mass increase above 3 scale heights represents about 1 × 10−2 of the total mass for ϵ = 2.5 and about 2 × 10−3 of the total mass for ϵ = 4, but strongly affects the radiative transfer in the upper layers.

Current usage metrics show cumulative count of Article Views (full-text article views including HTML views, PDF and ePub downloads, according to the available data) and Abstracts Views on Vision4Press platform.

Data correspond to usage on the plateform after 2015. The current usage metrics is available 48-96 hours after online publication and is updated daily on week days.

Initial download of the metrics may take a while.