Open Access

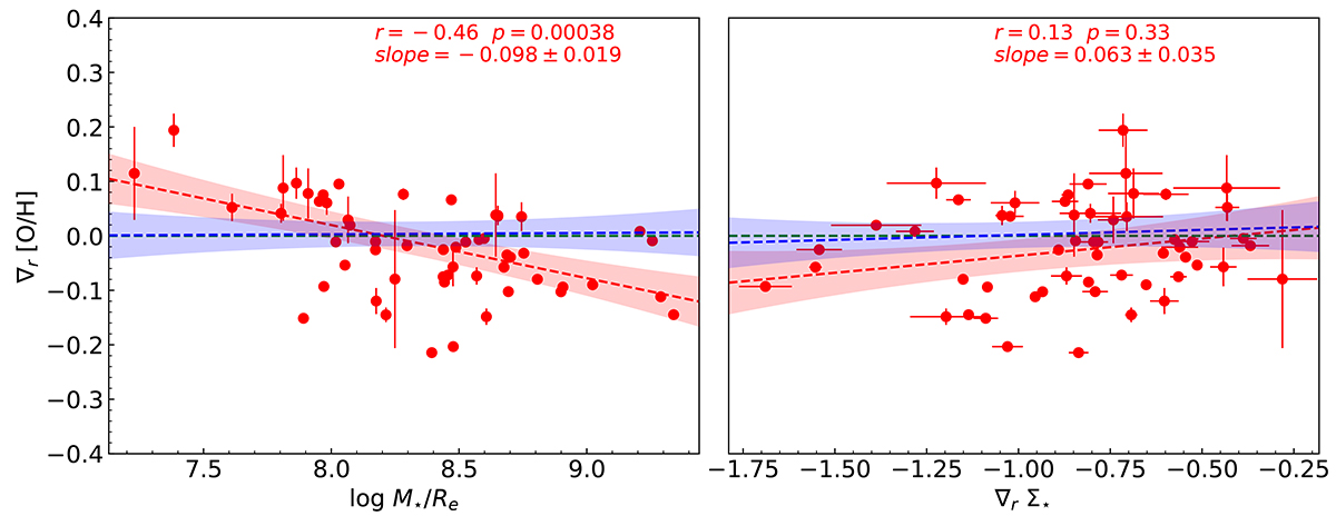
Fig. 9.

image

Download original image

Dependence of metallicity gradient on stellar gravitational potential, as represented by M/Re, and radial gradient of the stellar mass surface density. The meanings of the different lines and colors are similar to those in Fig. 7. The apparent correlation of metallicity gradients with M/Re or stellar mass surface density disappears once the dependence on stellar mass is removed.

Current usage metrics show cumulative count of Article Views (full-text article views including HTML views, PDF and ePub downloads, according to the available data) and Abstracts Views on Vision4Press platform.

Data correspond to usage on the plateform after 2015. The current usage metrics is available 48-96 hours after online publication and is updated daily on week days.

Initial download of the metrics may take a while.