Open Access

Fig. 3.

image

Download original image

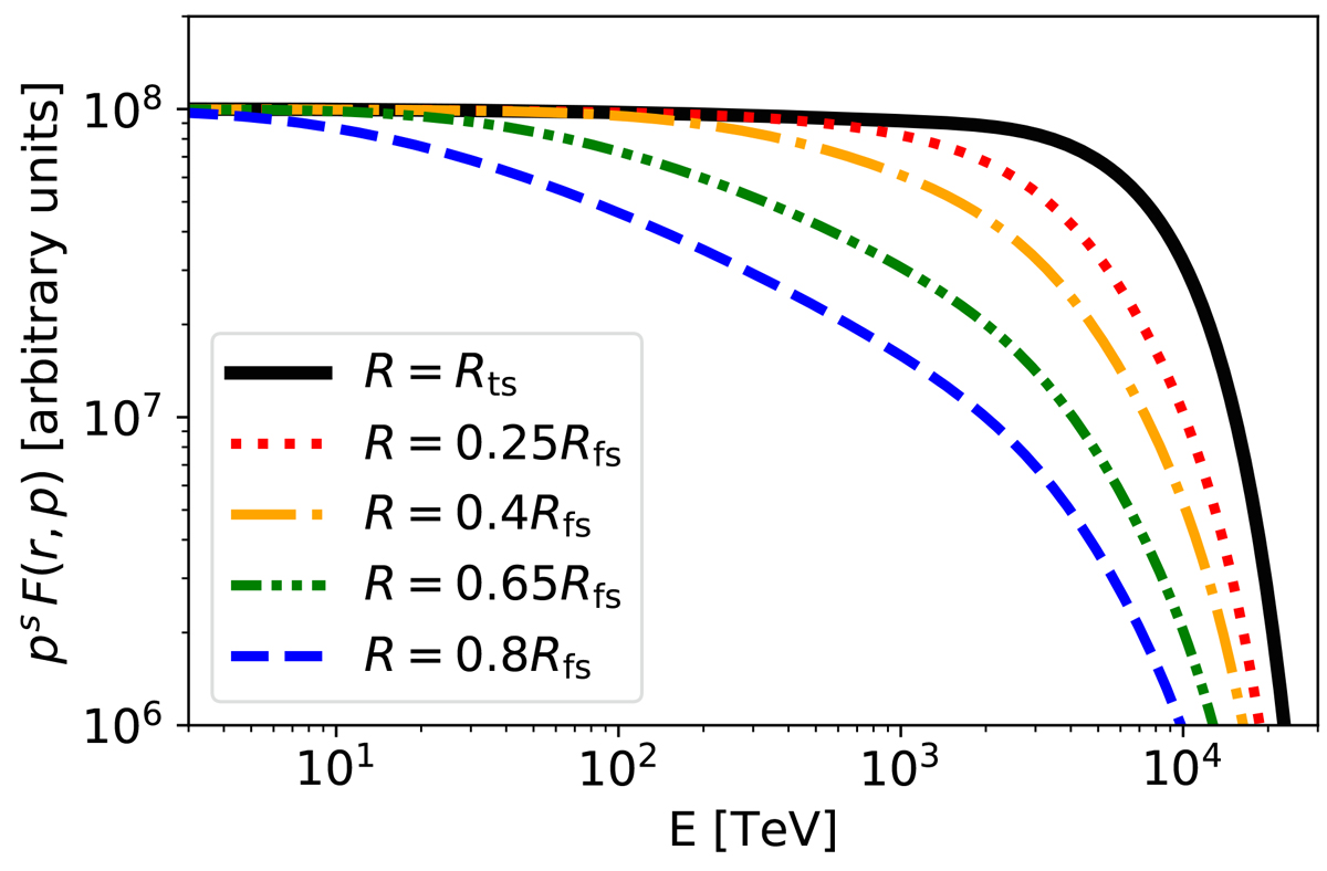
Proton spectra at different radii. The spectrum at the TS (solid black) is compared with the spectra at progressively larger radii approaching the FS (from the red dotted to the blue dashed).

Current usage metrics show cumulative count of Article Views (full-text article views including HTML views, PDF and ePub downloads, according to the available data) and Abstracts Views on Vision4Press platform.

Data correspond to usage on the plateform after 2015. The current usage metrics is available 48-96 hours after online publication and is updated daily on week days.

Initial download of the metrics may take a while.