Open Access

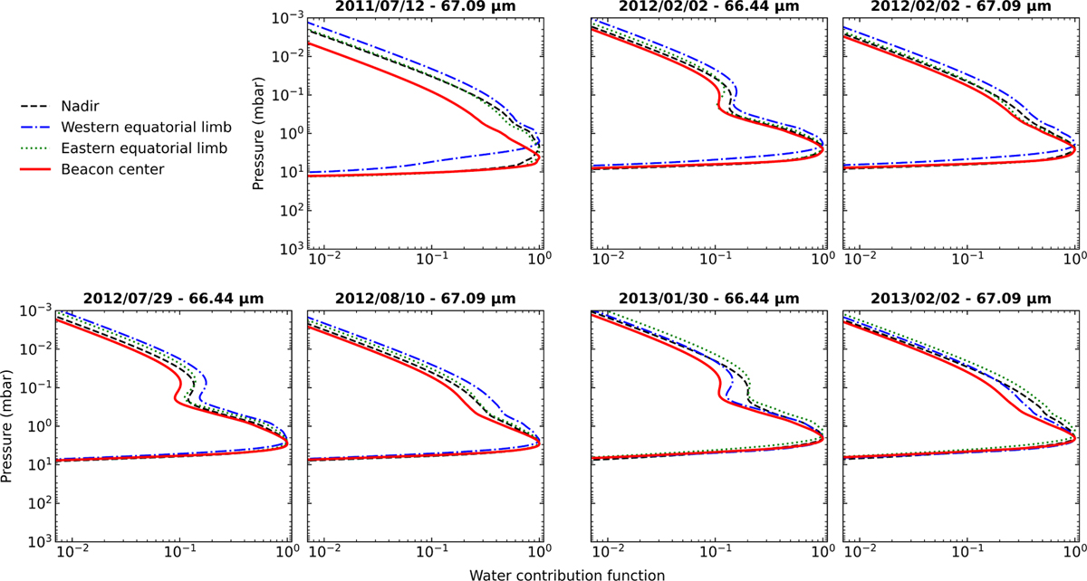
Fig. 7

image

Download original image

Water contribution functions for each of our seven observations, calculated with the best fit 3D water abundance field in the beacon from Step 3 (see Section 4.3). Dashed black lines refer to a line of sight at the planet disc centre. Dashed-dotted blue lines and dotted green lines correspond to a line of sight at, respectively, the western and eastern equatorial limbs. The solid red lines depict a line of sight at the beacon centre.

Current usage metrics show cumulative count of Article Views (full-text article views including HTML views, PDF and ePub downloads, according to the available data) and Abstracts Views on Vision4Press platform.

Data correspond to usage on the plateform after 2015. The current usage metrics is available 48-96 hours after online publication and is updated daily on week days.

Initial download of the metrics may take a while.