Open Access
Table 9
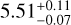
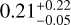
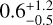
Parameters of the stars in the sample that have been derived from those in Table 8 and the corresponding 1σ uncertainties.
| Star | log L | R | Mspec | ΓEdd | vesc | v∞/vesc | Dmom | log Q0 | log Q1 |
|---|---|---|---|---|---|---|---|---|---|
| (L⊙) | (R⊙) | (M⊙) | (km s−1) | (g cm s−2) | (s−1) | (s−1) | |||
| 64066 | ![]() |
![]() |
![]() |
![]() |
![]() |
![]() |
![]() |
49.3 | 48.4 |
| A13 | ![]() |
![]() |
![]() |
![]() |
![]() |
![]() |
![]() |
49.4 | 48.8 |
| 62024 | ![]() |
![]() |
![]() |
![]() |
![]() |
![]() |
![]() |
49.0 | 48.2 |
| B2 | ![]() |
![]() |
![]() |
![]() |
![]() |
![]() |
![]() |
48.9 | 48.1 |
| B11 | ![]() |
![]() |
![]() |
![]() |
![]() |
![]() |
![]() |
48.9 | 47.2 |
| A15 | ![]() |
![]() |
![]() |
![]() |
![]() |
![]() |
![]() |
48.7 | 47.8 |
| A11 | ![]() |
![]() |
![]() |
![]() |
![]() |
![]() |
![]() |
49.2 | 47.6 |
| N20 | ![]() |
![]() |
![]() |
![]() |
![]() |
![]() |
![]() |
48.7 | 46.5 |
| N34 | ![]() |
![]() |
![]() |
![]() |
![]() |
![]() |
![]() |
49.2 | 48.0 |
| S3 | ![]() |
![]() |
![]() |
![]() |
![]() |
![]() |
![]() |
48.3 | 46.6 |
| LP26 | ![]() |
![]() |
![]() |
![]() |
![]() |
![]() |
![]() |
48.0 | 46.3 |
Current usage metrics show cumulative count of Article Views (full-text article views including HTML views, PDF and ePub downloads, according to the available data) and Abstracts Views on Vision4Press platform.
Data correspond to usage on the plateform after 2015. The current usage metrics is available 48-96 hours after online publication and is updated daily on week days.
Initial download of the metrics may take a while.












































































