Open Access

Fig. 4.

image

Download original image

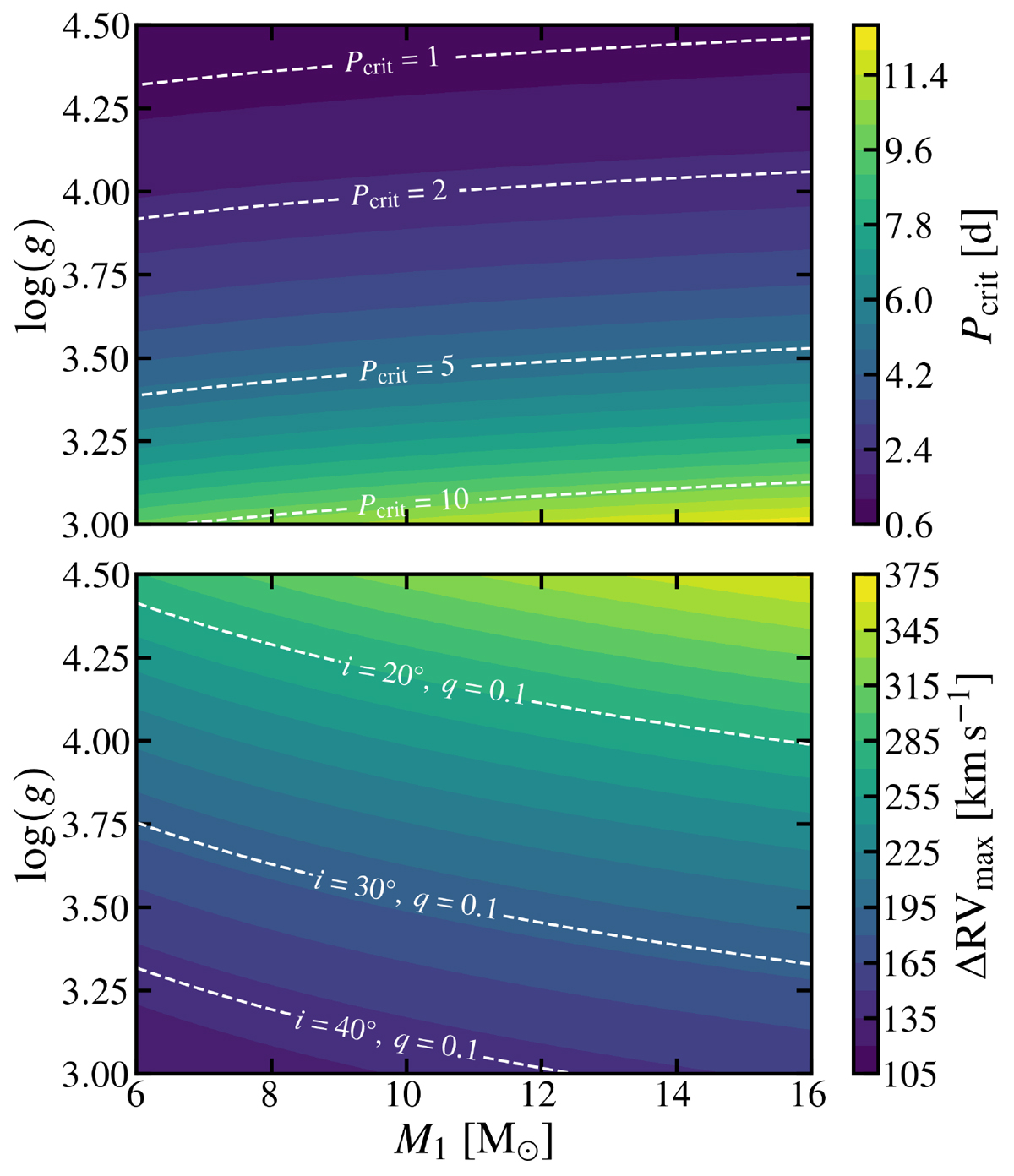
Top panel: Contour plot showing the critical period (Pcrit) as a function of primary mass (M1) and surface gravity (log(g)) for systems with i = 60° and q = 0.5. Dashed white contour lines highlight selected Pcrit values (1, 2, 5, and 10 days). Bottom Panel: As the top panel, this time displaying the corresponding change in RV (ΔRVmax) computed at Pcrit. Dashed white curves mark the contours where ΔRVmax = 20 km s−1 at different inclinations and q = 0.1.

Current usage metrics show cumulative count of Article Views (full-text article views including HTML views, PDF and ePub downloads, according to the available data) and Abstracts Views on Vision4Press platform.

Data correspond to usage on the plateform after 2015. The current usage metrics is available 48-96 hours after online publication and is updated daily on week days.

Initial download of the metrics may take a while.