Open Access

Fig. 6.

image

Download original image

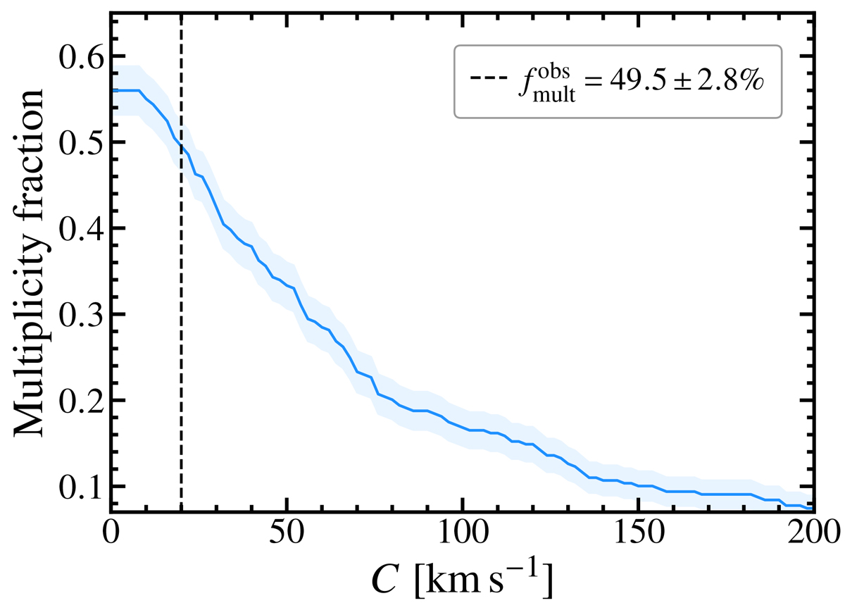
Observed multiplicity fraction as a function of the cut-off value C. The 20 km s−1 threshold used by previous studies (Sana et al. 2013; Bodensteiner et al. 2021; Banyard et al. 2022) is marked with the dashed line. The adoption of C = 20 km s−1 yields the observed binary fraction of f mult obs = 49.5 ± 2.8 % $ f^{\mathrm{obs}}_{\mathrm{mult}}={49.5}\pm{2.8}\% $. At C = 0, the observed multiplicity fraction is purely given by Equation (1).

Current usage metrics show cumulative count of Article Views (full-text article views including HTML views, PDF and ePub downloads, according to the available data) and Abstracts Views on Vision4Press platform.

Data correspond to usage on the plateform after 2015. The current usage metrics is available 48-96 hours after online publication and is updated daily on week days.

Initial download of the metrics may take a while.