Open Access

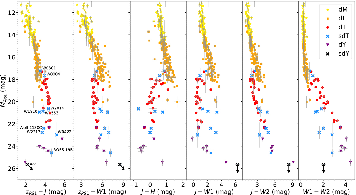
Fig. 1.

image

Download original image

Colours vs. absolute zPS1 magnitude diagrams of metal-poor T dwarf candidates (blue crosses), using trigonometric parallaxes obtained from this work and from the literature, zPS1 photometry from this work and from Zhang et al. (2023) and IR photometry from the literature. The parallax of W1810 comes from Lodieu et al. (2022). For the Accident (black cross and arrow), the parallax comes from (Kirkpatrick et al. 2021a). For comparison, field M, L, T dwarfs with trigonometric parallaxes from Pan-STARRS1 3π survey (Best et al. 2018) are plotted as yellow stars, orange squares, and red dots, respectively. Y dwarfs with zPS1 photometry (corrected from z′) from Lodieu et al. (2013) and Martín et al. (2024), and parallaxes from Kirkpatrick et al. (2019) are plotted as purple triangles. W1217 is a T9+Y2 system, so it is plotted as a mixture of red dot and purple triangle.

Current usage metrics show cumulative count of Article Views (full-text article views including HTML views, PDF and ePub downloads, according to the available data) and Abstracts Views on Vision4Press platform.

Data correspond to usage on the plateform after 2015. The current usage metrics is available 48-96 hours after online publication and is updated daily on week days.

Initial download of the metrics may take a while.