Open Access

Fig. 1

image

Download original image

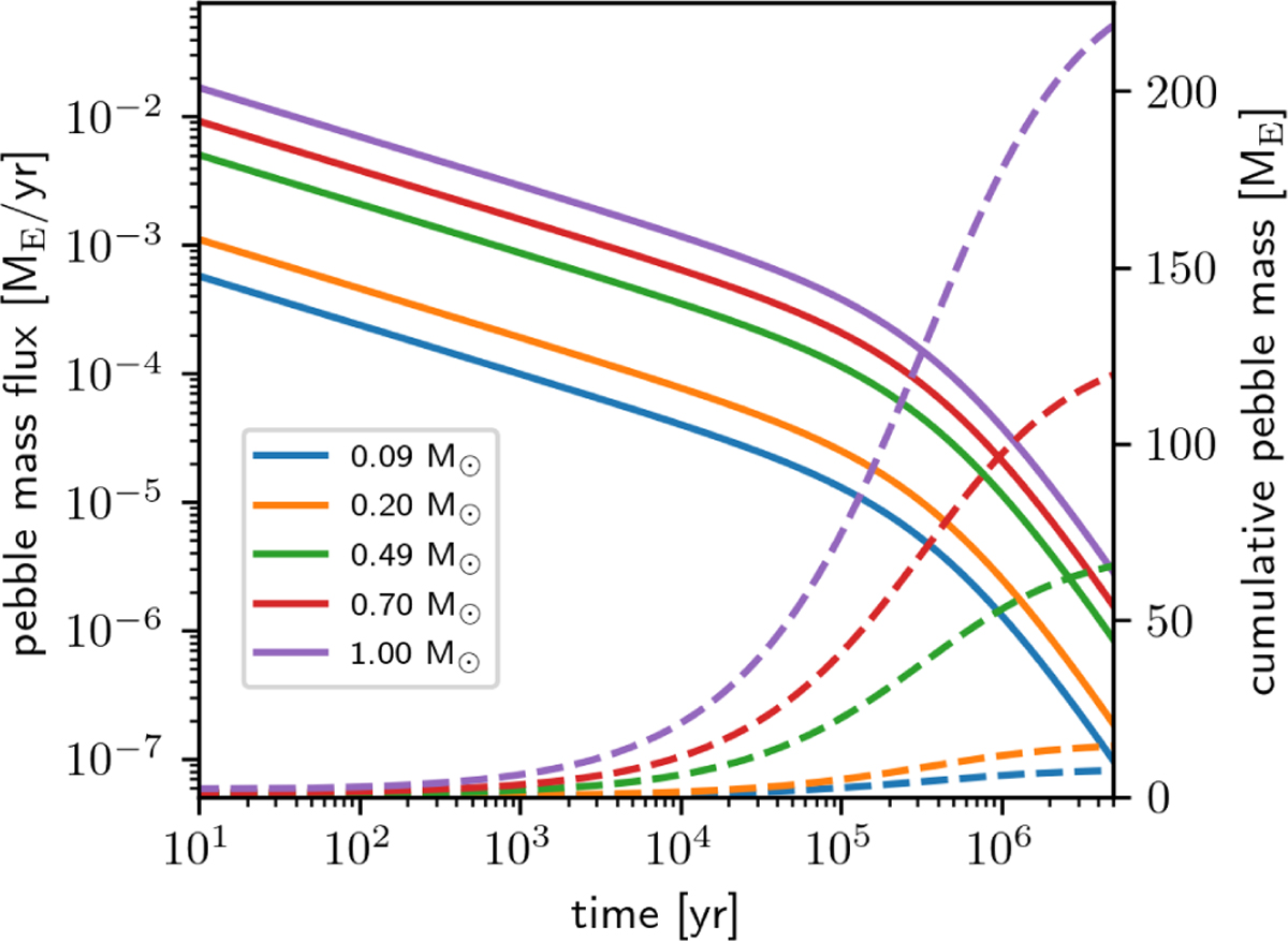
Radial pebble mass flux (solid lines, left-hand axis) and cumulative pebble mass (dashed lines, right-hand axis) in the inner disc as a function of time for the five stellar masses used in this study. After around 0.1 Myr, the pebble formation front reaches the outer edge of the disc, after which the slope of the pebble mass flux becomes significantly more negative. The disc around the 0.09 M star is weighted as 10% of the stellar mass, while all others are weighted as 5% (see the discussions in Sects. 3.1 and 4).

Current usage metrics show cumulative count of Article Views (full-text article views including HTML views, PDF and ePub downloads, according to the available data) and Abstracts Views on Vision4Press platform.

Data correspond to usage on the plateform after 2015. The current usage metrics is available 48-96 hours after online publication and is updated daily on week days.

Initial download of the metrics may take a while.