Open Access

Fig. A.1

image

Download original image

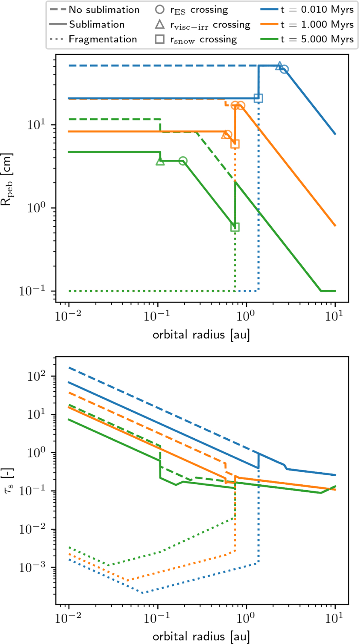
Influence of sublimation and fragmentation on the pebble radius (top) and Stokes number (bottom) within the snowline of a 1.00 M star. The solid lines represent the sublimation model, in which pebbles fragment and immediately recoagulate with a solid-dominated internal density. The dotted lines represent the fragmentation model without recoagulation. The dashed lines show the default model, in which the pebbles’ size and composition remain unaltered as they cross the snowline. The colours of the lines signify different times of evaluation. The circles, triangles, and squares represent crossings of the Epstein-Stokes boundary, the viscous-irradiative boundary and the snowline respectively. At the snowline, Rpeb instantaneously decreases due to sublimation, and even more so due to fragmentation, which leads to a local reduction in τs.

Current usage metrics show cumulative count of Article Views (full-text article views including HTML views, PDF and ePub downloads, according to the available data) and Abstracts Views on Vision4Press platform.

Data correspond to usage on the plateform after 2015. The current usage metrics is available 48-96 hours after online publication and is updated daily on week days.

Initial download of the metrics may take a while.